【導讀】眾所周知,電容是各種電路板中極其重要的元器件之一。它的種類繁多,功能也是層出不窮,尤其以濾波功能出名。
一、電容的濾波作用

● 即頻率f越大,電容的阻抗Z越小。
● 當低頻時,電容C由于阻抗Z比較大,有用信號可以順利通過;
● 當高頻時,電容C由于阻抗Z已經很小了,相當于把高頻噪聲短路到GND上去了。
二、電容濾波在何時會失效
整改中常常會使用電容這種元器件進行濾波,往往有“大電容濾低頻,小電容濾高頻”的說法。
以常見的表貼式MLCC陶瓷電容為例,進行等效模型如下:

容值10nF,封裝0603的X7R陶瓷的模型參數如下:

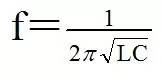
由于等效模型中既有電容C,也有電感L,組成了二階系統,就存在不穩定性。對電路回路來說,就是會發生諧振,諧振點在如下頻率處:

下圖是諧振曲線的示例:

即常說的在諧振點前是電容,諧振點之后就不再是電容了。
三、LC濾波何時使用
如果串聯電感L,再并聯組成C,就形成了LC濾波:

單獨一個電容C是一階系統,單獨一個電感L也是一階系統,在幅值衰減斜率是-20dB。但LC組成的二階系統,幅值衰減斜率是-40dB,更靠近理想的“立陡”的截止頻率的效果,即濾波效果更好。

四、PWM頻率到底是多少
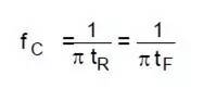
往往提到PWM,比如會說用20kHz PWM驅動電機等。但實際上,這個20kHz僅代表PWM的脈沖周期是50us:

那么所謂的20kHz PWM在頻域上的頻率點落在哪里呢,如下公式:

對于階躍信號來說,由于上升時間tr無窮小,則頻率f無窮大。當頻率高了之后,寄生參數則不能在忽略,會引發很多諧振的問題。
從信號上來看,就是很陡峭的階躍信號會有過沖和振蕩的問題。簡單來說就是頻率f越大,則噪聲所占的頻率就會越寬泛,即EMC特性就會越差。
五、如何將原理圖和PCB對應起來
由于細分工種的問題,原理圖和PCB被割裂開來,由兩組人進行分工作業:

例如在原理圖上有如下的電路:

其隱含一個問題就是在PCB上其實V1的負極和C1的負極是有一條線(PCB layout工具軟件中用的詞比較準確,Trace,蹤跡/軌跡)。
往往在設計階段A->B->C是都會關注的。如果EMC出現問題,除了要在原理圖上查找電路參數的問題,還需要特別關注C->D,即回流路徑。

如果回流路徑不順暢,會造成信號的畸變:

比如在EMC試驗時,MCU的ADC采集到的信號被干擾到了,則除了在原理圖上分析外,在PCB上講該信號高亮出來,然后再耐心尋找該信號的回流路徑是否有不順暢的地方:

對著信號線頭腦中想象回流路徑,有點意識流的感覺。
六、總結

推薦閱讀:



