中心議題:
- 產生電磁干擾的原因
- 有效減少連接器輻射的準側
一個64位總線從板卡A經過連接器B連到母板卡上,母板卡可能是一個主CPU卡或是一個通往其他子卡的無源通道。64條信號線的返回電流從母板卡C流回板卡A,其中的絕大部分通過了連接器B的接地腳。

圖1 一個64位總線信號的返回電流
只有一小部分信號返回電流經由不同的路徑流回板卡A然而,正是這一小部分返回電流引起了大量的EMI問題。
高頻電流流經大的環路時會輻射出大量的電磁能量,這將不能通過FCC或VDE所規定的輻射測試。EMI 設計的主要工作是使所有信號的電流環路橫截面的面積最小。例如,在一個完整地平面上,高頻電流趨向于緊貼走線正下方返回,一條
這么大的環路面積,在EMI方面是可以接受的。在圖1中,板卡A和C上的64位 總線信號由完整地平面返回,因此我們可以忽略其信號和地之間的環路面積。
返回電流路徑上的任何阻斷或不連續,如連接器接地引腳上的轉換,會在電流環路上產生“氣泡”,這些氣泡是否會帶來足夠大的面積,從而導致輻射超標,取決于回路中信號電流的總DI/DT值。
在圖1中,環路面積上的氣泡一般發生在連接器B內,因為連接器上的信號和地線引腳是分開的。該氣泡記為G1,64位總線信號路徑的環路電感大部分來自環路G1的電感。
信號返回電流是否有其他的返回路徑,取決于連接器B的物理結構,以及板卡A和C所在的機箱結構的具體情況。任何電流在返回位于板卡A上的源端時,如果不經過連接器B,則將包含一個大的環路面積,并產生大量的輻射。
例如,在圖2中,假設板卡A和C共用兩個連接器,另外增加的連接器記為D,將其安排在與連接器B相隔一段距離的地方。現在有一部分信號的返回電流可以由連接器D上的地線流加A,如圖9.7中的環路G2所示。

圖2 通過連接器D轉向的返回電流
[page]
調整信號返回電流通過連接器D的比例,取決于環路G1的電感(見圖1)與G2(見圖2)的電感的比值:
(式5)
在非常低的頻率上,流經連接器D的信號返回電流的量取決于阻抗的比值,而在較高的頻率上,則取決于上式中電感的比值。即然EMI是一個高頻問題,這里我們也就只關心兩個環路電感的比值。
因為環路G1面積較小,其電感也比G2要小一些,因此只有一小部分的返回信號電流經過路徑G2。但是, 即便如此小的一部分電流也足以使輻射超標。在30MHZ以上,在距設備
要想精確計算一個數字產品的輻射強度等級是件不現實的事情,因為有太多的因素會影響結果。下式表示了一個簡單的約束條件:開放的測量試驗場合,30MHZ以上,滿足FCC和VDE輻射限制的環路面積、峰值電流和上升時間。
(式6)
其中:E=
A=輻射環路面積,IN2
IP=峰值電流,A
T10~90%=信號上升時間
FCKOCK=時間頻率,HZ
關于上式需要注意:
最終產品的輻射指標與上式所預算的指標相差20DB是很常見的,其中包括一個很大的修正系數。
應該明確,輻射測試是測試系統中所有線路輻射的總和,如果一條線剛剛符合標準,那么增加了100條線肯定就不符合標準了。
例:一個連接器的噪聲輻射
圖1顯示了一個典型的16位總線。我們來分步計算路徑G1和G2的電感,以及路徑G1的輻射和路徑G2的輻射。
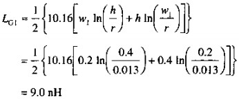
路徑G1的電感:
(式7)
R=0.025/2(引腳半徑,直徑的一半,IN
注意:我們用的是H/R,而不是2H/D)
W1=0.2(信號到地的距離,IN)
H=0.4(連接器引腳長度,IN)
1/2=修正系數,由于信號引腳兩邊有地線
路徑G2的電感:
(式8)
R=0.025/2(引腳半徑,直徑的一半,IN)
W1=0.2(信號到連接器D的距離,IN)
[page]
H=0.4(連接器引腳長度,IN)
假設每個驅動信號都通過50歐傳輸線傳播,幅度為典型的TTL電平3.7V,信號電流的峰-峰值為74MA。峰值電流是其一半或正負37MA。
采用式5救出路徑Y的峰值電流:
(式9)
現在采用式6來估算環路G1和G2的輻射,首先計算G1:
(式10)
A=0.08(引腳長度
IC1=0.037(峰值電流,A)
T10~90%=5*10的-9次方(信號上升時間,S)
FCKOCK=100MHZ
一條信號線的輻射為82UV,總的輻射與相關信號線數量的平方根近似成正比,所有16條線的輻射量為:
(式11)
按照這樣的設計,這個連接器的安排將不能通過規定測試,再看看連接器D的情況:
(式12)
A=2.4(引腳長度
IG2=0.0015(峰會值電流,A)
T10~90%=5*10的-9次方(信號上升時間,S)
FCIOK=100MHZ
一條信號線的輻射為90UV,所有16條線總的輻射為:
(式13)
實際上,環路G2輻射比G1輻射大,這里因為電感LG2只隨連接器B與D之間距離的對數值的增加而增 加,而環路G2面積的增加直接正比于連接器B和D的距離。電感的增加雖然使得流過G2的電流減少,但是環路面積增大導致增加的輻射要大得多。連接器B和D 之間距離的增大實際上會使輻射問題更加惡化。
下面是一些能有效減少連接器輻射的準則:
準則1 在連接器B中多用一些接地引腳,使地線靠近每一條信號線,從而有效地減小連接器B中的有效輻射環路面積。
準則2 在連接器B中增加更多的地線也能降低其電感,由式5可知,這樣可以減少在遠端環路中流過的電流。
準則3 將板卡A上所有的母板卡連接器緊密放置,以破環或消除遠端返回電流路徑。
準則4 沿著板卡A和板卡C的邊緣布放連續的接地點,根據式5這樣可以提供一個阻抗非常低的返回路徑,降低遠端環路電流。
準則5 不要把I/O電纜連接在板卡A的外邊緣上,這樣會從母板卡C上產生一個大的遠端返回電流路徑,經過大地和I/O電纜返回板卡A。應該將電纜邊在母板卡上,或者在母板卡上靠近連接器B外進行高頻濾波。
準則6 對于采用的驅動門電路,要使其上升沿時間要盡可能長。式6表明,輻射與上升時間的倒數成正比。



