整流,就是把交流電變為直流電的過程。利用具有單向導電特性的器件,可以把方向和大小交變的電流變換為直流電。下面介紹利用晶體二極管組成的各種整流電路,以及在學習過程中會遇到的一些問題的解決方法,希望通過這篇文章給想學習整流電路的同學于幫助。
一、半波整流電路

圖1 簡單的整流電路
上圖是一種最簡單的整流電路。它由電源變壓器B 、整流二極管D 和負載電阻Rfz ,組成。變壓器把市電電壓(多為220伏)變換為所需要的交變電壓e2 ,D 再把交流電變換為脈動直流電。
下面從波形圖上看著二極管是怎樣整流的

圖2 簡單整流電路波形圖
變壓器砍級電壓e2 ,是一個方向和大小都隨時間變化的正弦波電壓,它的波形如圖5-2(a)所示。在0~K時間內,e2 為正半周即變壓器上端為正下端為負。此時二極管承受正向電壓面導通,e2 通過它加在負載電阻Rfz上,在π~2π 時間內,e2 為負半周,變壓器次級下端為正,上端為負。這時D 承受反向電壓,不導通,Rfz,上無電壓。在π~2π 時間內,重復0~π 時間的過程,而在3π~4π時間內,又重復π~2π 時間的過程…這樣反復下去,交流電的負半周就被"削"掉了,只有正半周通過Rfz,在Rfz上獲得了一個單一右向(上正下負)的電壓,如圖5-2(b)所示,達到了整流的目的,但是,負載電壓Usc 。以及負載電流的大小還隨時間而變化,因此,通常稱它為脈動直流。
這種除去半周、圖下半周的整流方法,叫半波整流。不難看出,半波整說是以"犧牲"一半交流為代價而換取整流效果的,電流利用率很低(計算表明,整流得出的半波電壓在整個周期內的平均值,即負載上的直流電壓Usc =0.45e2 )因此常用在高電壓、小電流的場合,而在一般無線電裝置中很少采用。
[page]
二、全波整流電路
如果把整流電路的結構作一些調整,可以得到一種能充分利用電能的全波整流電路。下圖是全波整流電路的電原理圖。

圖3 全波整流電路圖
全波整流電路,可以看作是由兩個半波整流電路組合成的。變壓器次級線圈中間需要引出一個抽頭,把次組線圈分成兩個對稱的繞組,從而引出大小相等但極性相反的兩個電壓e2a 、e2b ,構成e2a 、D1、Rfz與e2b 、D2 、Rfz ,兩個通電回路。
全波整流電路的工作原理,可用圖5-4 所示的波形圖說明。在0~π 間內,e2a 對Dl為正向電壓,D1 導通,在Rfz 上得到上正下負的電壓;e2b 對D2 為反向電壓, D2 不導通(見下圖在π-2π時間內,e2b 對D2 為正向電壓,D2 導通,在Rfz 上得到的仍然是上正下負的電壓;e2a 對D1 為反向電壓,D1 不導通(見下圖如此反復,由于兩個整流元件D1 、D2 輪流導電,結果負載電阻Rfz 上在正、負兩個半周作用期間,都有同一方向的電流通過,如圖所示的那樣,因此稱為全波整流,全波整流不僅利用了正半周,而且還巧妙地利用了負半周,從而大大地提高了整流效率(Usc =0.9e2,比半波整流時大一倍)。

圖4 全波整流電路整流波形圖


圖5 全波整流電路圖
上圖所示的全波整濾電路,需要變壓器有一個使兩端對稱的次級中心抽頭,這給制作上帶來很多的麻煩。另外,這種電路中,每只整流二極管承受的最大反向電壓,是變壓器次級電壓最大值的兩倍,因此需用能承受較高電壓的二極管。
三、橋式整流電路
橋式整流電路是使用最多的一種整流電路。這種電路,只要增加兩只二極管口連接成"橋"式結構,便具有全波整流電路的優點,而同時在一定程度上克服了它的缺點。
橋式整流電路的工作原理如下:
e2 為正半周時,對D1 、D3 和方向電壓,Dl,D3 導通;對D2 、D4 加反向電壓,D2 、D4 截止。電路中構成e2 、Dl、Rfz 、D3 通電回路,在Rfz ,上形成上正下負的半波整洗電壓,e2 為負半周時,對D2 、D4 加正向電壓,D2 、D4 導通;對D1 、D3 加反向電壓,D1 、D3 截止。電路中構成e2 、D2 Rfz 、D4 通電回路,同樣在Rfz 上形成上正下負的另外半波的整流電壓。上述工作狀態分別如圖所示。

圖7 橋式整流電路工作原理圖
如此重復下去,結果在Rfz ,上便得到全波整流電壓。其波形圖和全波整流波形圖是一樣的。從圖5-6中還不難看出,橋式電路中每只二極管承受的反向電壓等于變壓器次級電壓的最大值,比全波整洗電路小一半
[page]
學習整流電路問題集錦:
問:分析橋式整流電路,四個二極管為什么要這么接?

圖8 四個二極管為什么要這么接
答:因為變壓器出來的是交流電,你需要的是直流電,而二極管具有單向導通的特性,所以你1腳上永遠是正極,2腳上永遠是負極,出來后并了個電容是濾波的,得到更穩定的直流電源假如變壓器上面的抽頭這一秒是正極,出來經過二極管上左邊那個截止,上右邊那個二極管導通,正極流向1腳。假如變壓器上面的抽頭下一秒是負極,左邊的導通,負電子流向2腳,右邊的截止。變壓器下邊的抽頭,情況和上面的一樣,利用二極管單向導通的特性,讓1腳永遠是正極,2腳永遠是負極。但是二極管反向的時候還是會有小部分交流電漏過,所以雖然整流后但得到的不是純凈的直流電,所以要加電容濾波,后面是個穩壓三極管,然后再濾波,就是你想要的直流電源了。
問:在橋式整流電路中,如果一個二極管發生開路,短路或反接,將會出現什么情況?
答:橋式整流通常是指由四支二極管組成的全波整流電路,當通電后,若其中一支二極管開路時,則變成半波整流電路。若其中一支二極管短路時,當此管在上橋臂,則相鄰下橋臂二極管會短路損壞;當此管在下橋臂,則相鄰的上橋臂二極管會短路損壞。當然,因短路電流通過PN結,也可能會使其變為開路。若其中一支二極管反接時,則電源會通過與其相鄰的另一支二極管形成短路,此兩管都因通過短路電流后而損壞。當然,這種短路也會造成前級電路的反應(保險熔斷或跳閘)。
問:橋式整流二極管的正負極判斷
答:對于二極管來講:1、電流流入的是正極,流出的是負極。2、整流輸出正電壓的那端是二極管的負極;輸出負電壓的那端是二極管的正極。
問:怎樣根據單相橋式整流電路的工作原理判斷輸出平均電壓?
答:橋式整流電路計算主要參數:
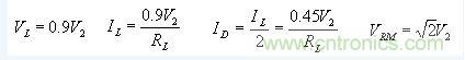
1.單相橋式整流電路輸出不帶電解電容濾波的,輸出電壓為變壓器次級電壓(有效值)的0.9倍。
2.單相橋式整流電路輸出帶電解電容濾波的,輸出電壓為變壓器次級電壓(有效值)的1.2倍。
3.只接電容,濾波后的電壓是變壓器輸出的1.414倍。(是最大值)。只接電感濾波后的電壓是變壓器輸出的1.2倍。(有效值)。又接電感及電容濾波后的電壓也是變壓器輸出的1.414倍(是最大值)。只整流不濾波輸出的電壓只是變壓器輸出的0.9倍。(有效值)

問:橋式整流電路中的濾波電容大小怎么計算?
答:橋式整流電路的濾波電容取值在工程設計中,一般由兩個切入點來計算。
一是根據電容由整流電源充電與對負載電阻放電的周期,再乘上一個系數來確定
另一個切入點是根據電源濾波輸出的波紋系數來計算的,無論是采用那個切入點來計算濾波電容都需要依據橋式整流的最大輸出電壓和電流這兩個數值。
通常比較多的是根據電源濾波輸出波紋系數這個公式來計算濾波電容。
C》0.289/{f×(U/I)×ACv}
C是濾波電容,單位為F;
0.289是由半波阻性負載整流電路的波紋系數推演來的常數;
f是整流電路的脈沖頻率,如50Hz交流電源輸入,半波整流電路的脈沖頻率為50Hz,全波整流電路的脈沖頻率為100Hz。單位是Hz。
U是整流電路最大輸出電壓,單位是V;
I是整流電路最大輸出電流,單位是A;
ACv,是波紋系數,單位是% 。
例如,橋式整流電路,輸出12V,電流300mA,波紋系數取8%,濾波電容為:C》0.289/{100Hz×(12V/0.3A)×0.08}濾波電容約等于0.0009F,電容取1000uF便能滿足基本要求。
【相關閱讀】
整流電路
http://baike.cntronics.com/tech/7581#zs_con
橋式整流電路的工作原理
http://baike.cntronics.com/abc/7621
三相整流電路
http://baike.cntronics.com/tech/7615
精密整流電路介紹
http://baike.cntronics.com/abc/4743




