【導讀】數字電路的原理圖中,數字信號的傳播是從一個邏輯門向另一個邏輯門,信號通過導線從輸出端送到接收端,看起來似乎是單向流動的,許多數字工程師因此認為回路通路是不相關的,畢竟,驅動器和接收器都指定為電壓模式器件,為什么還要考慮電流呢?
回流的基本概念
數字電路的原理圖中,數字信號的傳播是從一個邏輯門向另一個邏輯門,信號通過導線從輸出端送到接收端,看起來似乎是單向流動的,許多數字工程師因此認為回路通路是不相關的,畢竟,驅動器和接收器都指定為電壓模式器件,為什么還要考慮電流呢?
實際上,基本電路理論告訴我們,信號是由電流傳播的,明確的說,是電子的運動,電子流的特性之一:就是電子從不在任何地方停留,無論電流流到哪里,必然要回來,因此電流總是在環路中流動,電路中任意的信號都以一個閉合回路的形式存在。對于高頻信號傳輸,實際上是對傳輸線與直流層之間包夾的介質電容充電的過程。
回流的影響
數字電路通常借助于地和電源平面來完成回流。高頻信號和低頻信號的回流通路是不相同的,低頻信號回流選擇阻抗最低路徑,高頻信號回流選擇感抗最低的路徑。
當電流從信號的驅動器出發,流經信號線,注入信號的接收端,總有一個與之方向相反的返回電流:從負載的地引腳出發,經過敷銅平面,流向信號源,與流經信號線上的電流構成閉合回路。這種流經敷銅平面的電流所引起的噪聲頻率與信號頻率相當,信號頻率越高,噪聲頻率越高。邏輯門不是對絕對的輸入信號響應,而是對輸入信號和參考引腳間的差異進行響應。單點終結的電路對引入信號和其邏輯地參考平面的差異做出反應,因此地參考平面上的擾動和信號路徑上的干擾是同樣重要的。
邏輯門對輸入引腳和指定的參考引腳進行響應,我們也不清楚到底哪個是所指定的參考引腳(對于 TTL,通常是負電源,對于 ECL 通常是正電源,但是并不是全都如此),就這個性質而言,差分信號的抗干擾能力就能對地彈噪聲和電源平面滑動具有良好的效果。
當 PCB 板上的眾多數字信號同步進行切換時(如 CPU 的數據總線、地址總線等),這就引起瞬態負載電流從電源流入電路或由電路流入地線,由于電源線和地線上存在阻抗,會產生同步切換噪聲(SSN),在地線上還會出現地平面反彈噪聲(簡稱地彈)。而當印制板上的電源線和接地線的環繞區域越大時,它們的輻射能量也就越大,因此,我們對數字芯片的切換狀態進行分析,采取措施控制回流方式,達到減小環繞區域,輻射程度最小的目的。
實例解釋:

IC1 為信號輸出端,IC2 為信號輸入端(為簡化 PCB 模型,假定接收端內含下接電阻),第三層為地層。IC1 和 IC2 的地均來自于第三層地層面。TOP 層右上角為一塊電源平面,接到電源正極。C1 和 C2 分別為 IC1、IC2 的退耦電容。圖上所示的芯片的電源和地腳均為發、收信號端的供電電源和地。
在低頻時,如果 S1 端輸出高電平,整個電流回路是電源經導線接到 VCC 電源平面,然后經橙色路徑進入 IC1,然后從 S1 端出來,經第二層的導線經 R1 端進入 IC2,然后進入 GND 層,經紅色路徑回到電源負極。
在高頻時,PCB 所呈現的分布特性會對信號產生很大影響。我們常說的地回流就是高頻信號中經常要遇到的一個問題。當 S1 到 R1 的信號線中有增大的電流時,外部的磁場變化很快,會使附近的導體感應出一個反向的電流,如果第三層的地平面是完整的地平面的話,那么會在地平面上產生一個藍色虛線標示的電流,如果 TOP 層有一個完整的電源平面的話,也會在 TOP 層有一個沿藍色虛線的回流。此時信號回路有最小的電流回路,向外輻射的能量最小,耦合外部信號的能力也最小。(高頻時的趨膚效應也是向外輻射能量最小,原理是一樣的。)
由于高頻信號電平和電流變化都很快,但是變化周期短,需要的能量并不是很大,所以芯片是和離芯片最近的退耦電容取電的。當 C1 足夠大,而且反應又足夠快(有很低的 ESR 值,通常用瓷片電容。瓷片電容的 ESR 遠低于鉭電容。),位于頂層的橙色路徑和位于 GND 層的紅色路徑可以看成是不存在的(存在一個和整板供電對應的電流,但不是與圖示信號對應的電流)。
因此,按圖中構造的環境,電流的整個通路是:由 C1 的正極→IC1 的 VCC→S1→L2 信號線→R1→IC2 的 GND→過孔→GND 層的黃色路徑→過孔→電容負極。可以看到,電流的垂直方向有一個棕色的等效電流,中間會感應出磁場,同時,這個環面也能很容易的耦合到外來的干擾。如果和圖中信號為一條時鐘信號,并行有一組 8bit 的數據線,由同一芯片的同一電源供電,電流回流途徑是相同的。如果數據線電平同時同向翻轉的話,會使時鐘上感應一個很大的反向電流,如果時鐘線沒有良好的匹配的話,這個串擾足以對時鐘信號產生致命影響。
這種串擾的強度不是和干擾源的高低電平的絕對值成正比,而是和干擾源的電流變化速率成正比,對于一個純阻性的負載來說,串擾電流正比于 dI/dt=dV /(T¬10%-90%*R)。式中的 dI/dt (電流變化速率)、dV(干擾源的擺幅)和 R(干擾源負載)都是指干擾源的參數(如果是容性負載的話,dI/dt 是與 T¬10%-90%的平方成反比的。)。從式中可以看出,低頻的信號未必比高速信號的串擾小。也就是我們說的:1KHz 的信號未必是低速信號,要綜合考慮沿的情況。對于沿很陡的信號,是包含很多諧波成分的,在各倍頻點都有很大的振幅。因此,在選器件的時候也要注意一下,不要一味選開關速度快的芯片,不僅成本高,還會增加串擾以及 EMC 問題。
任何相鄰的電源層或其它的平面,只要在信號兩端有合適的電容提供一個到 GND 的低電抗通路,那么這個平面就可以作為這個信號的回流平面。在平常的應用中,收發對應的芯片 IO 電源往往是一致的,而且各自的電源與地之間一般都有 0.01-0.1uF 的退耦電容,而這些電容也恰恰在信號的兩端,所以該電源平面的回流效果是僅次于地平面的。而借用其他的電源平面做回流的話,往往不會在信號兩端有到地的低電抗通路。這樣,在相鄰平面感應出的電流就會尋找最近的電容回到地。如果這個“最近的電容”離始端或終端很遠的話,這個回流也要經過“長途跋涉”才能形成一個完整的回流通路,而這個通路也是相鄰信號的回流通路,這個相同的回流通路和共地干擾的效果是一樣的,等效為信號之間的串擾。
對于一些無法避免的跨電源分割的情況,可以在跨分割的地方跨接電容或 RC 串聯構成的高通濾波器(如 10 歐電阻串 680p 電容,具體的值要依自己的信號類型而定,即要提供高頻回流通路,又要隔離相互平面間的低頻串擾)。這樣可能會涉及到在電源平面之間加電容的問題,似乎有點滑稽,但肯定是有效的。如果一些規范上不允許的話,可以在分割處兩平面分別引電容到地。
對于借用其它平面做回流的情況,最好能在信號兩端適當增加幾個小電容到地,提供一個回流通路。但這種做法往往難以實現。因為終端附近的表層空間大多都給匹配電阻和芯片的退耦電容占據了。
回流噪聲是參考平面上的噪聲主要的來源之一。因此有必要研究一下返回電流的路徑和流經范圍。
回流路徑理論知識
下圖中是印制板中的一條線路,在導線上有電流通過,通常,我們只看到了敷在表面的用于傳輸信號的導線,從驅動端到接收端,實際上,電流總是在環路上才能流動,傳輸線是我們可以看到的,而電流回流的途徑通常是不可見的,他們通常借助于地平面和電源平面流回來,由于沒有物理線路,回路途徑變得難于估計,要對他們進行控制有一定的難度。
如圖 3.1 所示, PCB 板上每條導線和其回路構成一個電流環路,根據電磁輻射原理,當突變的電流流過電路中的導線環路時,將在空間產生電磁場,并對其他導線造成影響,這就是我們通常所說的輻射,為了減少輻射的影響,首先應該了解輻射的基本原理和與輻射強度有關的參數。

圖 3.1 印制板上的差模輻射
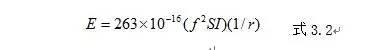
這些環路相當于正在工作的小天線,向空間輻射磁場。我們用小環天線產生的輻射來模擬它,設電流為 I,面積為 S 的小環,在自由空間為 r 的遠場測得的電場強度為:
E――電場(V/m)
f――頻率( )
S――面積( )
I――電流(A)
r――距離(m)
――測量天線與輻射平面的夾角( )
式 3.1 適用于放置在自由空間且表面無反射的小環,實際上我們的產品是在地面進行而非自由空間,附近地面的反射會使測得的輻射增加 6dB,考慮到這一點,式 3.1 必須乘 2,如果對地面反射加以修正并假設為最大輻射方向,則式 3.1 為

由式 3.2 知,輻射與環路電流和環面積成正比,與電流頻率的平方成正比。
印刷電路板中返回電流的路徑是與電流的頻率密切相關的。根據電路基本知識,直流或低頻電流總是流向阻抗最小的方向;而高頻的電流在電阻一定的情況下,總是流向感抗最小的方向。
如果不考慮過孔在敷銅平面上形成的孔、溝的影響,阻抗最小的路徑,也就是低頻電流的路徑,是由地敷銅平面上的弧形線組成,如圖 3.2。每根弧線上的電流的密度與此弧線上的電阻率有關。

圖 3.2 PCB 敷銅平面上高頻電流路徑
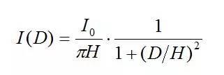
對傳輸線來說,感抗最小的返回路徑,也就是高頻電流返回路徑,就在信號布線的正下方的敷銅平面上,如圖 3.3。這樣的返回路徑使得整個回路包圍的空間面積最小,也就使得此信號形成的環形天線向空間輻射的磁場強度(或接收空間輻射的能力)最小。
對于比較長、直的布線,可以看作理想的傳輸線。在其上傳播的信號返回電流流經范圍是以信號布線為中心軸的帶狀區域,距離信號布線中心軸距離越遠,電流密度越小,
如圖 3.3。這一關系近似滿足式 3.3 [4]:

式 3.3
其中, 為原始信號電流,單位為“A,安培”;
為信號布線與敷銅平面的距離,單位為“in.,英寸”;
為敷銅平面上的點到信號線的垂直距離,單位為“in.,英寸”;
是這一點上的電流密度,單位為“A/in.,安培每英寸”。

圖 3.3 傳輸線返回電流密度分布圖
根據式 3.3,表 3.1 列出了流經以傳輸線中心為中心,寬度為 的帶狀區域內的返回電流占所有返回電流的百分比。

假設英寸,則經過距離傳輸線 0.035 英寸以外的區域返回的電流只占所有返回電流的 13%,具體分到傳輸線的一側只有 6.5%,而且密度很小。因此可以忽略不計。
小結
1.當信號布線下方具有連續、致密、完整的敷銅平面時,信號返回電流對敷銅平面的噪聲干擾是局部的。因此,只要遵循布局、布線局部化的原則,即人為地拉開數字信號線、數字器件與模擬信號線、模擬器件之間的距離到一定程度,可以大幅度降低數字信號返回電流對模擬電路的干擾。
2.高頻瞬態返回電流,經由與信號走線緊鄰的平面(地平面或電源平面)回流到驅動端。驅動器信號走線的終端負載,跨接在信號走線和與信號走線緊鄰的平面(地平面或電源平面)之間。
3.當印制板上的電源線和接地線的環繞區域越大時,它們的輻射能量也就越大,因此,我們通過控制回流路徑,可以使得環繞區域最小,從而控制輻射程度。
4 回流問題的解決方法
在 PCB 板上引起回流問題通常有三個方面:芯片互連,銅面切割,過孔跳躍。下面具體對這些因素進行分析。
4.1 芯片互連引起的回流問題
當數字電路工作時,將發生高、低電壓之間的轉換,這就引起瞬態負載電流從電源流入電路或由電路流入地線。
對于數字器件而言,它引腳輸入電阻可以認為無窮大,相當于開路(即下圖中的 i=0),事實上,回路電流是通過芯片與電源和地平面產生的分布電容和分布電感來返回的。以下以集電極輸出電路作為輸出信號的內部電路為例進行分析。
4.1.1 驅動端從低電平變化到高電平。
當輸出信號由低電平跳變為高電平時,相當于輸出引腳對傳輸線輸出一個電流,由于輸入電阻無窮大,我們認為對于芯片而言,沒有電流從輸入管腿上流入即 ,那么,這個電流必須返回到輸出芯片的電源管腿上。
①信號走線與電源平面緊鄰。
驅動端對信號走線和電源平面及終端負載構成的傳輸線進行充電,電流從驅動器的電源管腳進入器件,并從驅動器輸出端流向負載端;
高頻瞬態返回電流在信號走線下方的電源平面上回流到驅動器的輸出端,返回電流直接通過電源平面,從驅動器的電源管腳進入驅動器,構成電流環路。
②信號走線與地平面緊鄰。
驅動器對信號走線和電源平面及終端負載構成的傳輸線進行充電,電流從驅動器的電源管腳進入器件,并從驅動器輸出端流向負載端;

高頻瞬態返回電流在信號走線下方的地平面上回流到驅動器的輸出端,返回電流必須借助在驅動器輸出端的電源平面和地平面的耦合電容,從地平面跨越到電源平面,再從驅動器的電源管腳進入驅動器,構成電流環路。
4.1.2 驅動端從高電平變化到低電平,相當于輸出引腳吸收傳輸線上的電流。
① 信號走線與電源平面緊鄰。
負載對信號走線和電源平面及驅動器輸出端構成的傳輸線進行放電,電流從驅動器的輸出管腳進入器件,從驅動器的地管腳流出,進入地平面,并通過在驅動器地管腳附近的電源平面和地平面耦合電容,跨越到電源平面,返回負載端;
高頻瞬態返回電流在信號走線下方的電源平面上回流到負載端,構成電流環路。
② 信號走線與地平面緊鄰。
負載對信號走線和電源平面及驅動器輸出端構成的傳輸線進行放電,電流從驅動器的輸出管腳進入器件,從驅動器的地管腳流出,進入地平面,返回負載端;高頻瞬態返回電流在信號走線下方的地平面上回流到負載端,構成電流環路。

在驅動器的輸出管腳、地管腳附近,應當布放電源平面和地平面的耦合電容,為返回電流提供返回通路,否則,返回電流將尋找最近的電源平面和地平面的耦合途徑進行回流(使得回流途徑難以預知和控制,從而對其他走線造成串擾)。
4.2 覆銅切割造成的回流問題解決辦法
地平面和電源平面可以減少電阻引起的電壓損失。如圖所示,回路電流經過地流回,由于電阻 R1 的存在,勢必在 1 和 2 點產生電壓降,電阻越大,壓降越大,引起對地電平的不一致,如果有地層,可視為線寬無限大,電阻很小的信號線。回路電流總是從最靠近信號的地層上流過,當地層不止一層時,如果信號處于兩層地平面之間而兩者又完全相同時,回路電流將等分在兩個平面上通過。

4.2.1.在布局、布線局部化的條件下,數字地平面與模擬地平面公用同一塊敷銅平面,即對數字地與模擬地不加區分,數字電路本身的噪聲并不會給模擬電路系統帶來額外的噪聲。
4.2.2.在數字、模擬混合電路系統中,數字地與模擬地的共地點選擇在板外,即兩敷銅平面完全獨立,使得數字電路與模擬電路之間的信號線不具備傳輸線的特征,給系統帶來嚴重的信號完整性問題。數字電路與模擬電路采用同一個電源系統,地平面不加分割,在數字、模擬混合電路系統的設計中,在布局模塊化、布線局部化的基礎上,數字電路模塊和模擬電路模塊公用一個完整的、不加分割的電壓參考平面,不但不會增大數字電路對模擬電路的干擾,由于消除了信號線“跨溝”問題,能夠大幅度降低信號間的串擾和系統的地彈噪聲,提高了前端模擬電路的精度。

4.3 過孔造成的回流問題解決辦法
在印制板信號布線時,如果是多層板,很多信號必須通過換層來完成連接任務,這時就要用到大量的過孔,過孔對回流的影響有兩種:一是過孔形成溝槽阻斷回流,二是過孔造成的回流跳層流動。
4.3.1.過孔形成的溝槽
在印制板信號布線時,如果是多層板,很多信號必須通過換層來完成連接任務,這時就要用到大量的過孔,如果過孔在電源或地平面排列比較密集,有時候會出現許多過孔連成一片的情況,形成所謂的溝,如圖所示。首先,我們應該對這種情況進行分析,看看是否回流需要經過溝槽,如果信號的回流無需經過溝槽,就不會對回流造成阻礙影響。如果回路電路要繞過這條溝返回,形成的天線效應將急劇增加,對周邊信號產生干擾。通常我們可以在涂敷數據生成后,對過孔過密而形成溝槽的地方加以調整,使過孔之間留有一定的距離。

4.3.2.過孔形成的跳層現象
下面我們以六層板為例進行分析。該六層板有兩個涂敷層,第二層為地層,第五層為電源層,因此表層和第三層的信號回流主要在地層;底層和第四層的回流主要在電源層,換層布線時有以下六種可能:表層<----->第三層,表層<----->第四層,表層<----->底層,第三層<----->第四層, 第三層<----->底層,第四層<----->底層,這六種可能的情況根據其回路電流的情況可以分為兩大類:回路電流在同一層上和在不同層上流動的情況,即是否有跳層現象。
A.回路電流在同一層上流動的情況包括表層<----->第三層、第四層<----->底層,如圖所示。在這種情況下,回路電流都在同一層上流動,但是,由靜電感應原理可知,處于電場中的完整的導體,其內部電場強度為零,所有的電流均在導體表面流動,地平面和電源平面實際上就是這樣一個導體。我們使用的過孔均為通孔,這些過孔經過電源和地平面時留下的孔洞就給涂敷層上下表面的電流的流通通過了路徑,因此,這些信號線的回流途徑是很好的,無需采用措施來改善。

B. 回路電流在不同層上流動的情況包括表層<----->第四層、表層<----->底層、第三層<----->第四層、第三層<----->底層。下面以表層<----->底層和第三層<----->第四層為例,分析其回流情況。具有跳層現象的信號,需要其在過孔密集區附近增加一些旁路電容,通常為 0.1uf 的磁片電容,用來提供一個回流通路的。
免責聲明:本文為轉載文章,轉載此文目的在于傳遞更多信息,版權歸原作者所有。本文所用視頻、圖片、文字如涉及作品版權問題,請電話或者郵箱聯系小編進行侵刪。





