【導讀】本文將探討連接器設計和選擇中最難解決的問題:并發開關噪聲,并且揭示并發開關噪聲對高性能系統中使用的連接器和封裝規格指標的影響。
在高速電路設計中,中國設計工程師通常不是特別了解連接器的互感特性在改進信號完整性設計中的作用,本文將探討連接器設計和選擇中最難解決的問題:并發開關噪聲,并且揭示并發開關噪聲對高性能系統中使用的連接器和封裝規格指標的影響。
人們總是認為系統中所有的工作都是由IC來完成的,當然也包括相應的軟件。而類似于IC封裝、電路板、連接器、電纜以及其它的離散元器件等無源器件只 會降低系統性能,擴大系統尺寸和增加系統成本。所以,系統中互連以及元器件的選擇和設計實際上就是將這些成分對系統造成的影響降到最低。因此大多數的IC 設計師通常將系統中不連接的所有部分(這通常是PCB設計師所涉及的內容)歸結為寄生成分這樣一個籠統的范疇。
圖1:四種最主要的高速電路問題
選擇IC器件時,除了選擇合適的元器件以外,后續的電路板布局布線工作還要符合下列設計規則:
1. 受控阻抗的PCB線;
2.分支線上的信號延時小于最快信號上升時間的20%;
3. 不連續性時間延時小于最快信號上升時間的20%;
4.相鄰PCB線具有足夠的間距,確保信號串擾控制在可以接受的電平上;
5. 合理的PCB分層設計確保相鄰的電源和地平面層之間的介質很薄;
6.每一個信號線下面都有連續的信號返回路徑。
即便PCB的布局布線做得非常好,事情仍然沒有那么簡單。高性能系統中的每一個成分都需要優化,確保符合整個系統在成本、性能和開發進度等方面的要求。高性能的系統設計是一個環環相扣的鏈,每一個環節都必須符合要求,方能保證整個系統符合產品性能規范。
系統中的其它因素將如何影響系統性能?可能的問題通常可以歸結為兩種類型:時序問題和噪聲問題。信號完整性既包括時序問題也包括噪聲問題,然而噪聲問題更顯突出。
圖1所示為互連和元器件導致的信號完整性問題的四種類型:
1. 單根網絡的信號質量;
2. 兩根或者更多網絡之間的信號串擾;
3. 電源分布系統中的噪聲;
4. 系統中元器件對外的電磁輻射。[page]
除非特別關注,并且項目一開始就著手考慮了這些問題,否則上述四種類型的問題就會出現在高速產品中。本文將探討連接器(也包括IC封裝)的設計和選擇 中最難解決的問題:并發開關噪聲(simultaneously switchingnoise),并且揭示并發開關噪聲對高性能系統中使用的連接器和封裝規格指標的影響。并發開關噪聲
對連接器和IC封裝來說,開關噪聲方面的高速性能要求是最難滿足的。開關噪聲屬于信號串擾,主要是由于連接器和IC封裝中相鄰環路(由信號與返回路徑構成)之間的互感導致的。要使開關噪聲幅度最小,必須確保相鄰的信號路徑環路之間的互感小于一個允許的最大值。

圖2:測量BGA封裝中的并發開關噪聲
當信號通過連接器或者IC封裝傳播時,信號的波前(信號波形中跳變的成分)通過信號管腳構成一個電流環路,就會耦合并且返回到信號的返回管腳上。每一個信號和對應的返回路徑都可以構成一個相似的環路。在任何兩個信號及其返回路徑構成的環路之間都存在一個環路互感。
一個環路中的電流發生變化時,就會在另外一個靜止(信號電流沒有變化)的環路中感應出信號噪聲。而當多個變化的信號線并發開關時,通過互感耦合到靜止 環路的噪聲就會互相累計,因此稱為“并發開關噪聲”。圖2所示為五個數據線并發開關時測量到的一個靜止信號線上的并發開關噪聲。在這個實例里,靜止信號線 上的噪聲是由該靜止環路與所有五個變化的環路之間的互感而造成的。
互感的計算
采用簡單的模型可以很方便地估算出兩個信號環路之間允許的最大互感值。進一步討論如何計算實際連接器中相鄰環路之間的互感。
當信號通過連接器的一個管腳對時,在變化的信號通路上,信號的波前處會出現信號電流的突然變化。變化的電流會導致電壓噪聲并且感應到相鄰的靜止信號環 路上,這種感應是由于兩個環路之間存在的互感引起的。這種靜止信號線上感應出來的噪聲稱之為開關噪聲,這是由于這種噪聲只有當電壓或者電流處于開關狀態時 才會出現。
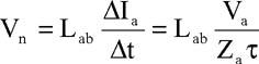
在靜止環路中感應出的電壓噪聲可以近似為:
表達式各項的意義為:Vn,靜止環路中的噪聲;Lab,變化環路和靜止環路之間的互感;△Ia,變化環路中的電流變化;Za,在變化環路與靜止環路的視在阻抗;Va,變化環路中的信號電壓;△t是信號的上升時間,表明電流開關的快慢。
選擇連接器或者IC封裝唯一可以影響的就是環路之間的互感,而環路中信號視在阻抗通常都在50歐姆左右,該阻抗值與上升時間及信號電壓一樣都是系統規范的一部分。
允許的開關噪聲幅度取決于噪聲分配。開關噪聲通常應該小于信號擺幅的5%到10%,當然噪聲的分配也取決于工程師的設計技巧,以及由誰來負責選擇連接 器或者IC封裝。優秀的信號完整性工程師的談判代表非常清楚:要找到一個具有足夠低互感的連接器或封裝將是多么的困難,所以他會盡可能地爭取一個更寬松的 互感指標,這樣做的結果勢必導致系統中其它部分的規格更加嚴格。
首先可以使用如下的值來開始這種估算:
首先可以使用如下的值來開始這種估算:Vn/Va =5%,Za=50歐姆,t=0.5ns,由上述公式可計算出允許的最大互感值是1.2n
圖3:連接器管腳的三維實體模型
確定上述應用假設條件后,就相當于對連接器或封裝的信號路徑之間允許的互感值施加了約束條件。當然,在時間、成本費用以及產品風險之間權衡并且實施資 源分配之前,優秀的設計工程師應該運用更加完善而全面的系統級仿真來考察究竟多大的互感可以確保設計成功,并且不會對系統造成過多的負擔。因此,上面的估 算僅僅是一個最初的預期值
事實上,上述估算過高地估計了允許的互感值,這是因為假設靜止信號線上的噪聲僅僅是由一根相鄰的變化信號路徑的信號變化造成的。實際的情況下,通常可 能有多個信號路徑并發變化,其中每一個開關的信號路徑都會對靜止信號線產生并發開關噪聲。根據連接器的設計,信號管腳之間實際允許的互感值通常只有上面估 算值的一半到五分之一左右。
連接器管腳對之間或封裝引線對之間的互感值為1.2nH是不是太大?我們來看一個具體的實例,就會發現1.2nH實際上是一個很小的值,而對于實際的連接器或封裝需要做許多艱苦的工作才有可能減小該數值。[page]
提取連接器的環路互感
在普通2mm間距的連接器模塊,這種連接器典型的管腳長度大約是25mm左右。如圖3所示,評估互感的值,可以將連接器實際的物理設計轉換為保留導體所有幾何特性的三維實體模型。
采用三維場提取工具從導體的實體模型中提取出局部的電感矩陣。有關連接器電感特性方面的問題都包含在這一個電感矩陣中。矩陣對角線上的元素是其局部自感,而不在對角線上的元素則是每管腳對之間的局部互感。
20個管腳的連接器的完整電感矩陣如圖4所示。局部電感的概念在分析連接器和IC封裝的電氣性能方面非常有效。一個信號與另一個相鄰的信號之間共用同 一個返回路徑的情況很常見。管腳對1和2是變化的環路(信號會發生跳變),而管腳對2和3則是靜止的環路(信號不發生變化)。
這兩個路徑之間的互感為:LAB=(L31-L32)+(L22- L21)-L22
圖4:連接器中的所有20個管腳的局部互感矩陣
從場提取工具產生的表格中,可以找到該連接器的下述電感值:
L31=7.9nH
L32=10.9nH
L21=10.9nH
L22=19.9nH
L41=6.3nH
L42=7.9nH
根據上述數值可以計算出互感值是6nH。這就是共用同一個返回路徑的兩個信號路徑之間的互感值。與最初估算的1.2nH相比,6nH太大。如果應用在這樣的設計環境下,可以肯定該連接器不能正常工作。
當然,如果有足夠的理由確實要在設計中運用這種連接器,一種辦法是確保每一個信號都有各自獨立的返回路徑。在這種情況下,一個環路使用管腳1和2,而另一個環路則使用管腳3和4。兩個環路之間的互感如下計算:LAB =(L31-L32)+(L42-L41)
這樣計算出來的互感值是1.4nH。可見僅僅通過為每一個信號提供各自獨立的信號返回路徑,就可以將開關噪聲減少四倍。考慮到其它信號路徑信號同時變化的可能性,可以看到即便是1.4nH這么小的值仍然會產生3到5倍這么大的開關噪聲。
現在已經非常清楚,對高速設計而言,常規的連接器按照常規的用法顯然不能滿足要求。任何可能降低管腳對之間互感的可行方法都應該考慮。[page]
減小互感
原則上可以采取兩種方法來減少連接器的互感。
1. 要確保盡可能短的路徑。Packard-Hughes公司的Gold Dot連接器、Thomas和Betts公司的Metal Particle Interconnect(MPI)連接器就是采用了這種關鍵技術。而Tessera公司推出的CSP器件封裝的一個重要特征就是具有非常短的引線長度。
在這些技術中總的引線長度可以縮短到1mm。僅僅引線長度一項就可以將上面實例中相鄰信號和返回路徑環路之間的互感減小為上述電感數值的二十分之一。
2. 要降低每一個信號與對應的返回路徑的特征阻抗。環路之間的互感與最小環路的自感成比例,減小一個管腳對的環路自感就等于是降低信號通路的特征阻抗。
SamTec公司的連接器就采用了這樣的技術,這種連接器采用又寬又短的引線作為返回路徑。因此,器件封裝向采用內部返回路徑層的BGA封裝轉移,或者從單層金屬的TBGA向雙層金屬的TBGA封裝轉移。
從上面的實例中可以看出,信號和返回路徑管腳的分配同樣也能影響最終的信號路徑之間的互感。對于一個確定的連接器來說,管腳的選擇可以用來優化系統的性能。然而如果具備足夠的管腳做更加靈活的信號和返回路徑分配,那么系統設計工程師通常總會選擇分配更多的信號管腳。
對連接器廠商提供參數的評估
假定已經對電路板設計進行了優化,并且已經估算出相鄰信號環路之間允許的最大互感值,那么,要告訴元器件廠商:所需要的連接器必須保證相鄰信號環路之間的互感值小于1nH。
連接器廠商和IC封裝廠商通常都在機械工程和生產制造方面非常精深,但不是特別了解有關的電氣特性,甚至可能并不知道他們應該提供連接器的互感特征。 有的時候,這些器件廠商也提供管腳對之間的串擾電壓信息。正如前面所看到的那樣,這些值跟信號的上升時間、阻抗以及信號和返回路徑對的分配都有很大關系。 如果廠商給出特殊情況下的值與你的具體應用要求不一樣的話,該如何評估這些值?
用戶總是主動去獲取所需要的精確信息,即信號與返回路徑環路之間的互感。而且應該向元器件廠商明確提出這是非常重要的一個設計指標,如果元器件廠商不提供這些信息的話,你就不能夠評估廠商提供的元器件能否在你的設計應用中正常工作?
如果廠商提供了這些指標,也可以進一步地查明廠商是如何獲得這些參數的:是通過測量還是通過計算?如果是通過測量方法獲得的話,廠商是否采用了業界標 準的測量流程?如果是通過計算獲得的,這些值的獲得是否是一種近似(就如同所有的計算公式一樣)?它是否通過場提取方法獲得?廠商是否提供任何的支持文檔 資料來證實他們的建模過程符合實際的情況并且同生產制造的元器件性能相吻合?如果廠商不能提供這些信息,應該建議該廠商采用獨立的實驗室服務或者是顧問服 務來幫助他們提供這些信息。
在最后的分析中,要選擇那些不僅能夠提供符合你設計系統要求的性能指標,同時也能夠給你信心保證在你的系統中可以一次性成功的連接器廠商。產品合格與資料齊全、準確詳實同樣重要。




