【導讀】在很多應用中,模擬前端接收單端或差分信號,并執行所需的增益或衰減、抗混疊濾波及電平轉換,之后在滿量程電平下驅動ADC輸入端。今天我們探討下精密數據采集信號鏈的噪聲分析,并深入研究這種信號鏈的總噪聲貢獻。
如圖1所示,低功耗、低噪聲、全差分放大器ADA4940-1驅動差分輸入、18位、1 MSPS PulSAR® ADC AD7982,同時低噪聲精密5 V基準電壓源ADR435用來提供ADC所需的5 V電源。此信號鏈無需額外驅動器級和基準電壓緩沖器,簡化了模擬信號調理,可節省電路板空間和成本。一個單極點截止頻率2.7 MHz RC(22 ?,2.7 nF)低通濾波器放在ADC驅動器輸出和ADC輸入之間,有助于限制ADC輸入端噪聲,并減少來自逐次逼近型(SAR) ADC輸入端容性DAC的反沖。

圖1. 低功耗全差分18位1 MSPS數據采集信號鏈(簡化示意圖:未顯示所有連接和去耦)
計算與分析
ADA4940-1用作ADC驅動器時,用戶可以進行必要的信號調理,包括對信號實施電平轉換和衰減或放大,以便使用四個電阻實現更大動態范圍,從而不再需要額外的驅動器級。采用反饋電阻(R2 = R4)對增益電阻(R1 = R3)之比設置增益,其中R1 = R2 =R3 = R4 = 1 kΩ。
對于平衡差分輸入信號,等效輸入阻抗為2×增益電阻(R1或R3)= 2 kΩ,對于非平衡(單端)輸入信號,等效阻抗根據下式計算,約為1.33 kΩ。

如果需要可以在輸入端并聯一個終端電阻。
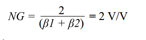
ADA4940-1內部共模反饋環路強制共模輸出電壓等于施加到VOCM輸入的電壓,同時提供出色的輸出平衡。當兩個反饋系數(β1和β2)不相等時,差分輸出電壓取決于VOCM;此時,輸出幅度或相位的任何不平衡都會在輸出端產生不良共模成分,導致差分輸出中有冗余噪聲和失調。因此,在這種情況下(即,β1 =β2),輸入源阻抗和R1 (R3)的組合應等于1 kΩ,以避免各輸出信號的共模電壓失配,并防止ADA4940-1的共模噪聲增加。
信號在印刷電路板(PCB)的走線以及長電纜中傳輸時,系統噪聲會疊加到信號中,差分輸入ADC會抑制信號噪聲,并表現為一個共模電壓。
這款18位1 MSPS數據采集系統的預期信噪比(SNR)理論值可通過每個噪聲源(ADA4940-1、ADR435和AD7982)的和方根(RSS)計算得到。
ADA4940-1在100 kHz時的低噪聲性能典型值為3.9 nV/√Hz,如圖2所示。

圖2. ADA4940輸入電壓噪聲頻譜密度和頻率的關系
必須計算差分放大器的噪聲增益,以便找到等效輸出噪聲貢獻。
差分放大器的噪聲增益為:

其中

以及

是兩個反饋系數。
考慮下列差分放大器噪聲源
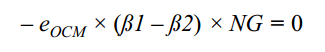
由于ADA4940-1輸入電壓噪聲為3.9 nV/√Hz,其差分輸出噪聲應當為7.8 nV/√Hz。ADA4940-1數據手冊中的共模輸入電壓噪聲(eOCM)為83 nV/√Hz,因此其輸出噪聲為:

給定帶寬條件下,R1、R2、R3和R4電阻噪聲可根據約翰遜-奈奎斯特噪聲方程計算:

其中kB是玻爾茲曼常數(1.38065 × 10 – 23 J/K),T為電阻絕對溫度(開爾文),而R為電阻值(Ω)。
來自反饋電阻的噪聲為:

來自R1的噪聲為:

來自R3的噪聲為:

ADA4940-1數據手冊中的電流噪聲為0.81 pA/√Hz。
反相輸入電壓噪聲:

同相輸入電壓噪聲:
因此,來自ADA4940的等效輸出噪聲貢獻為:

(RC濾波器之后)的ADC輸入端總積分噪聲為:

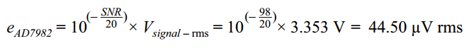
AD7982的均方根噪聲可根據5 V基準電壓源情況下的典型信噪比(SNR, 98 dB)計算得到。

根據這些數據,ADC驅動器和ADC的總噪聲貢獻為

注意,本例中忽略來自ADR435基準電壓源的噪聲貢獻,因為它非常小。
因此,數據采集系統的理論SNR可根據下式近似計算。

結果
AD7982在1 kHz輸入信號時,SNR典型值為96.67 dB,THD典型值為–111.03 dB,如圖3中的FFT性能所示。這種情況下測得的SNR為96.67 dB,非常接近上文中的96.95 dB SNR理論估算值。數據手冊中98 dB的目標SNR的實際損耗由來自ADA4940-1差分放大器電路的等效輸出噪聲貢獻所導致。

圖3. FFT曲線圖,fIN = 1 kHz,FS = 1 MSPS(將ADA4940-1配置成全差分驅動器)。
針對給定應用選擇ADC驅動器以驅動SAR ADC時,噪聲是一個重要規格,詳細查閱帶寬、建立時間、輸入和輸出上裕量/下裕量以及功耗要求也很重要。有關驅動高分辨率精密PulSAR ADC的推薦放大器的更多信息,請參閱ADI公司ADC驅動器選型指南。若要設計差分放大器電路,請下載免費且直觀易用的ADI公司DiffAmpCalc™工具。
本文轉載自亞德諾半導體。
推薦閱讀:


