【導讀】驅動電路采用H型橋式PWM脈寬調制驅動形式,如圖1所示。電路主要由大功率三極管B772、D882、三極管8050和光電耦合器等元件組成。該驅動電路可控制電機的正轉、反轉和停止。
與單片機的接口電路采用光電耦合器隔離。用單片機的I/O口控制驅動電路的兩個控制端,當控制端PWM1為低電平,控制端PWM2為高電平時,左邊的光電耦合器導通,右邊的光電耦合器不導通,Q1、Q2、Q6、Q7全部深度飽和導通,而右邊的Q3、Q4、Q5、Q8全部截止,由于Q6、Q7深度飽和導通,所以其Vceo只有約0.3伏,在驅動管上消耗的電壓很小,此時電機正轉。反之,當控制端PWM1為高電平,控制端PWM2為低電平時,電機反轉。當控制端PWM1和PWM2同時為高電平或低電平時,電機停止。

圖1:H型橋式PWM脈寬調制驅動電路
由于電機平均功率滿足如下關系:
其中, P為電機兩端的平均功率; Pmax為電機全速運轉時的功率; A為脈寬。可見,電機的平均功率與脈寬成正比。
設電機轉動后的平均功率為: P=fv,則 APmax=Af=fv。式中 v=Avmax,其中, f為拉力, vmax為電機全速運轉時的速度。可見電機的轉速與脈寬成正比。單片機發出的脈沖信號的占空比決定PWM放大器輸出的電壓平均值的大小。
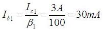
電路部分參數的計算(以左支路為例進行分析):
H橋路設計的關鍵是要讓四個功率管始終工作在飽和或者截止狀態下,因此在電路設計時,在功率管(如Q7)前加一級三極管(如Q2)驅動,使得當Q7工作時能處在飽和狀態,不工作時則處于截止狀態。當功率管Q7工作在深度飽和狀態(Ic1=3A電流時),查得B772與D882的電流放大倍數β1≈100 ,此時其基極電流:

因此驅動三極管Q2只需要提供30mA的電流,由于Q2的放大倍數 β2≈100 ,Q2的基極電流:
由于光電耦合器導通時,接收管的導通電流有50mA 0.3mA,足以使Q2深度飽和。而當Q2不工作時,其Iceo很小,足以使Q7截止。在重負載導通時,功率管7c-e間的電壓只有0.2V,即三極管處于深度飽和狀態,故該電路的實際效率很高。同理,右支路的參數分析以及工作狀態與左支路相同。





