中心議題:
- 大功率LED驅動電路原理與設計
解決方案:
- EMI模塊設計
- PFC變換器設計
- DC/DC轉換器設計
1 原理與設計
本文所設計電路主要分為EMI模塊、PFC變換器和DC/DC變換器三個部分,其中EMI模塊采用雙環濾波,達到了較理想的效果;采用飛兆FAN6961芯片作為PFC變換器的控制芯片,使用Boost變換,使功率因數得到提高;DC/DC變換器采用LLC諧振,以FSFR2100為控制器件,達到了較高的效率,其基本結構如圖1所示。

圖1 驅動電源設計結構
1.1 EMI模塊
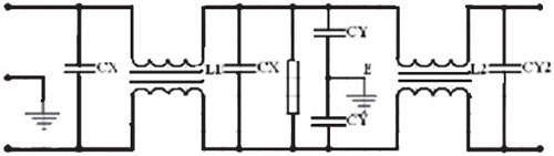
開關電源的干擾信號按傳導模式可分為共模干擾信號和差模干擾信號。根絕其特點可粗略地劃分為三個頻段:0.15~0.5MHz差模干擾為主;0.5~5MHz差、共模干擾共存;5~30MHz共模干擾為主。在設計時,如果哪個頻段不達標,可針對該頻段加強濾波效果。例如在0.15~0.5MHz頻段不達標,可以加強差模干擾信號的抑制,增大電容Cx的值或添加差模扼流圈;如在5~30MHz頻段不達標,可以加強共模干擾信號的抑制,增大Cy的值或增加共模濾波的級數。在抑制干擾信號時,重點還是放在共模干擾信號的抑制上。

圖2 雙環EMI濾波器
1.2 PFC變換器設計
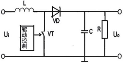
1.2.1 Boost變換工作原理
Boost變換器亦稱并聯開關變換器。當驅動控制信號使開關晶體管VT導通時,能量從輸入電源輸入,并存儲于電感L中,二極管VD反偏,負載由濾波電容C供給能量。
當VT截止時,電感L中的電流不能突變,它所產生的感應電勢阻止電流減小,電勢的極性左負右正。二極管VD導通,電感中儲存的能量通過二極管VD流入電容C,并供給負載。

圖3 Boost變換器電路結構
[page]
1.2.2 基于Boost的PFC變換器設計
我們可以看出在開關管導通期間,電感電壓等于輸入電壓,電感電流隨之線性增加,二極管D1截止,輔助繞組的電壓隨之增加,電流檢測電阻的電壓線性上升;當導通時間到達Ton時,開關管斷開。當開關管斷開時,電感電壓降低,電感電流通過二極管D1流向負載,輔助繞組的電壓隨之降低,電流檢測電阻上無電流流過,開關管再次開通前,電流檢測電阻上電壓已經為0;而零電流檢測端電壓波形與開關管驅動波形的脈沖剛好相反,當零電流檢測端電壓將為0時,開關管又開始導通,新一輪的周期開始。可以看出電路工作在臨界導電模式下。

圖4 FAN6961的外圍電路
由下式我們得出開關管S的電流應力為:1.93A。
式1
由于PFC級輸出電壓范圍為400± 20V, 所以V0_max=420V, 考慮選擇PDPF20N50開關晶體管(VDS=500V, ID=12.9A, RDS(on)=0.2Ω)。
為了減少噪音,Boost變換器的開關頻率要做到盡量低,但又必須大于20kHz(低于20kHz人耳能夠聽到)。本研究中設fmin=40kHz,此時輸入電壓的有效值VRMS=265V,Vin=√2VRMS=374V,V0=400V,輸入功率Pin=P0/η=150/0.85=176.5W。代入下式得:L=220H。
式2
選擇電感L=220H, 選取PQ3230為磁芯,各項參數查表知道,磁芯有效面積Ae=161mm2,AL=5140nH/N2,Le=7.46cm,磁芯的最高工作磁密Bs=0.32T,電感的峰值感應電流:
式3
電感的匝數由式(4)決定:
式4
對上式結果取整,定匝數為26。
Boost變換器的控制芯片為FAN6961,需要一輔助繞組,根據FAN6961的使用說明可知其匝數由式(5)決定:
式5
對上式取整,該輔助繞組的匝數為3 。
在PFC電路中,通常在整流橋的輸出端接一個小電容,主要用來濾除輸入端的高頻噪音,其容量一般很小。它的取值具有下限值和上限值,其下限值由輸入濾波電容的最大電壓紋波決定,其上限值則由輸入電流與輸入電壓的偏移角決定。
[page]
Vin(min)=√2Vin_RMS_min=120V,根據參考文獻可知ΔVci(max)一般取最小輸入電壓峰值處5%。ΔVci(max)=5%Vin(min)=6V,L=220H,Pin=P0/η=150/0.85=176.5W,V0=400V,cosβ=0.9,ω=100π。代入下式:
式6
式7
由上式可得Cin min=0.67μF,Cin max=3.89μF;本文實驗選擇輸入電容684/630V。
將Vmax=ΔVci(max)/2=3V,f=50Hz,f=50Hz,I0=P0/V0=0.375A代入下式:
式8
得:C0 min=199μF,考慮到最大輸出電壓為420V,因此在該實驗中,選取容量220、耐壓450V的電解電容。
1.3 DC/DC轉換器設計
1.3.1 基于LLC諧振的DC/DC變換器
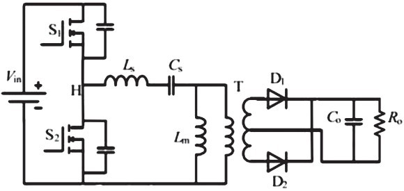
LLC諧振變換器優于常規串聯諧振變換器和并聯諧振變換器。首先,它可以在輸入和負載大范圍變化的情況下調節輸出,同時開關頻率變化相對很小。第二,它可以在整個運行范圍內,實現零電壓切換(ZVS),從而降低了開關損耗,提高效率。最后,所有寄生元件,包括所有半導體器件的結電容和變壓器的漏磁電感和激磁電感,都是用來實現ZVS的。
圖5所示為LLC諧振變換器的工作原理圖,LLC諧振轉換器一般包含一個帶MOSFET的控制器(本文采用FSFR2100作為控制器)、一個諧振網絡和一個整流網絡。

圖5 LLC諧振變換器工作原理圖
FSFR2100以50%的占空比交替驅動兩個MOSFET,隨負載變化而改變工作頻率,調節輸出電壓。諧振網絡包括兩個諧振電感和一個諧振電容。諧振電感Ls、Lm與諧振電容Cs主要作為一個分壓器,其阻抗隨工作頻率而變化從而獲得所需的輸出電壓。整流網絡對諧振網絡產生的正弦波形進行整流,然后傳輸到輸出級。
1.3.2 LLC諧振各參數計算
由公式最小電壓增益
其中K取8,則最小電壓增益為:
式9
[page]
如圖6所示。

圖6 最小電壓增益
知PFC級輸出電壓為
=405V,經查得變壓器輸出端整流二極管FFPF12UP2ODN壓降VF=1.15V,要求輸出電壓V0=50V則變壓器匝數比n為:
式10
對于同樣的規格,諧振電感和電容都可以取不同的數值,在這里Cr的取值有個下限,Cr的數值需使得串聯的諧振槽可以恒定增益區間的工作,而選擇較大的Cr會使得Cr上的電壓應力降低。這樣帶來的問題是使得諧振槽的阻抗降低,這會影響短路時的性能。當諧振槽阻抗降低時,則會使短路時電流變大,而且為了限制短路電流,會需要更高的開關頻率。這里選擇為22nF耐壓630V的電容。
由公式
推導出:
式11

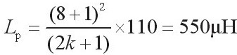
圖7 LLC諧振變換器的典型增益曲線(k=8)
如圖7振蕩器的典型電壓增益曲線所示,選取諧振頻率為102kHz,并且在上一步中已經得出Cr=22nF,將這兩個參數代入式(11)就可以得到:
式12
將k=8,Lr=110μH代入式(13):
式13
得:
式14
變壓器的磁芯選擇為EER3542(Ae=107mm2)磁芯,從圖7所示的增益曲線得到最小開關頻率為77kHz,則變壓器的初級最小線圈數為:
式15
選擇次級線圈匝數為8 則初級線圈匝數為
成立,故變壓器的線圈匝數為:初級NP=36Ts,次級Ns=8Ts。
2 結語
本文所設計的大功率LED驅動電路所用到的元件較少,電路簡單,創新性地利用FAN6961芯片將Boost電路和PFC模塊相結合,并采用LLC諧振變換器,在保證較高效率的同時達到了較高的功率因數,大大減輕了電磁干擾,安全可靠。




