中心議題:
- 研究單相有源電力濾波器、電源及非線性負載之間能量交換機理
- 對變流器直流側電容電壓的穩定問題進行理論分析
- 提出一種簡單應用于單相電壓源型有源電力濾波器的數字化控制方
解決方案:
- 采用單相電壓型有源濾波器,進行數字控制
- 變流器直流電容的平均電壓保持定值,使系統電源提供能量等于負載消耗功率
引言
電力有源濾波器(APF)是頗受關注的用于諧波及無功功率補償的裝置。APF的補償性能取決于主電路的拓撲結構和控制方式,APF主電路結構的研究已經比較成熟,目前實際應用的有源電力濾波器都是采用PWM變流器作為主電路,因此電力有源濾波器的性能依賴于所采用的控制方法。三相有源濾波技術得到了學者的普遍關注,提出了許多控制策略,但電力系統中存在著大量的單相負荷(如電氣化鐵道),這些負荷會造成電網的三相嚴重不平衡。目前單相有源濾波器的控制方法與三相有源濾波器的控制方法相比還不成熟。現有文獻中單相有源濾波器的控制方法大都要進行諧波電流檢測,然后根據諧波電流產生控制指令來控制主電路的開關動作,因此需要高精度的模擬乘法器或高速A/D、D/A以及DSP,電路結構復雜,參數靈敏度高;雖然也有一些不需要檢測諧波電流和智能的控制方法相繼提出,如單開關周期控制方法邊帶控制方法、神經網絡控制方法等,但相比還不夠成熟。
在數字控制技術獲得廣泛應用的今天,減少檢測量、簡化算法和實現易于數字化控制成為有源電力濾波器發展的方向。本文研究了單相有源電力濾波器、電源及非線性負載三者之間的能量交換機理,在此基礎上得出了直流側電容電壓穩定調節的方法;提出了一種單相電壓型有源濾波器的數字控制方法。該方法只需檢測電源側電流和變流器直流側電容電壓,據此實時計算各開關在每個開關周期內的占空比,形成開關的控制信號。計算機仿真結果驗證了該方法的可行性。
直流側電容電壓的穩定調節
有源電力濾波器的作用就是使電源側電流與電源電壓同相并保持或接近正弦波形。在穩態情況下,對于一個無損的有源電力濾波系統,系統電源提供的能量必須等于負載消耗的功率,因此,變流器直流電容的平均電壓將保持為一個定值。當功率不平衡時,如負載發生變化,變流器的直流電容將提供系統電源與負載間的功率差,這將導致直流電容平均電壓的變化。如果系統電源提供的功率低于負載需要的功率,那么直流電容的平均電壓將降低,此時,需要提高系統電流的幅值以增加系統電源提供的實功率;反之,直流電容平均電壓將升高,此時,需要減小系統電流的幅值以降低系統提供的功率。直流側電容平均電壓的變化能夠反映出主電路與負載間功率的轉換情況。因此,期望的電源側電流幅值可以通過直流側電容電壓調整獲得。

圖1 電壓型有源電力濾波器
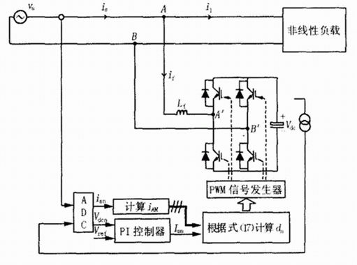
電壓型有源電力濾波器電路構成如圖1所示,定義電網中電源傳輸的瞬時有功功率為Ps,負載側傳輸的瞬時有功率為Pl,有源濾波器傳輸的瞬時有功功率為Pf。則在電源、負載和有源電力濾波器的公共交點處,電網中瞬時能量傳輸關系滿足:

因此,它們的平均值Ps、Pl和Pf之間同樣滿足如下關系:

如果忽略有源電力濾波器本身的損耗,那么根據瞬時能量守恒,存在如下等式關系:

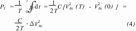
這里C為直流側電容。由式(3)可計算有源濾波器傳輸的瞬時有功功率平均值Pf:

式中:T代表一個開關周期;Vdc(0)、Vdc(T)分別是0時刻和T時刻的直流側電壓;ΔV2dc是0時刻和T時刻的直流側電壓的平方差。綜合式(2)和式(4),有:

又因為電源側平均功率為:

式中:Vs、Is分別是系統電源側電壓、電流的幅值。綜合式(5)和式(6),得到Is的表達式:

式(7)說明,如果Is不同于2/Vs*Pl時,直流側電容電壓將會有波動;Is可以由直流側電容電壓Vdc的變化量ΔVdc確定。
另外,為使有源電力濾波器正常工作,達到所要求的補償效果,必須使直流側電容電壓Vdc維持足夠高并且穩定,以保證在進行動態補償的任何瞬間能根據控制要求輸出所需的補償電流;但由于補償電流的時變性和變流器的自身損耗,如不采取適當的控制措施,直流側電容電壓Vdc將產生衰減或很大的波動,變流器不能正常運行。根據式(7),我們采用PI控制器將直流側電容電壓維持在要求的水平,將電容電壓Vdc與設定的電壓參考值Vref相比較,并將比較的結果ΔVdc送入PI控制器,PI控制器的輸出就是電源側電流期望的幅值Is,也即負載側電流基波有功分量的幅值。
新型的數字控制方法
新型數字控制方法如圖2所示。

圖2 單相電壓型有源濾波器結構圖
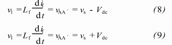
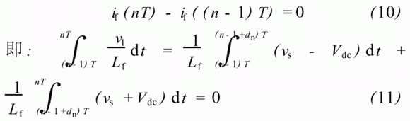
單相電壓源型有源濾波器直流側以電容作為儲能元件來維持直流電壓Vdc恒定。設開關周期恒定為T,第n個開關周期內占空比為dn,則這個開關周期內兩對開關管分別導通的時間為dn*T和(1-dn)*T,從而分別可以得到兩個電壓平衡方程:

在穩定情況下,一個開關周期內電感上儲存和釋放的能量相等,即電感上的電流在第n個開關周期始末沒變,所以:

只要采樣和開關的速度足夠快,在一個開關周期內,我們可以認為vs、Vdc恒定,則式(11)可以化解為:

有源電力濾波器控制目標是使補償后的電源側電流為正弦且與電源電壓同相,這樣非線性負載和有源電力濾波器等效為一純阻性負載Rs,即滿足:

那么補償后的電源側電流幅值Is與電源電壓幅值Vs存在如下關系:

穩定的直流側電容Vdc電壓與電源電壓幅值Vs滿足:

式中:K為比例系數,需根據補償的要求選取合適的值(與電感、電容的參數也有關)。
將式(13)、(14)、(15)代入式(12)得到:

同樣,只要采樣和開關的速度足夠快,is、Is在一個開關周期內可以近似認為是恒定的。則將式(16)離散化可得:

式中:dn為第n個開關周期的變流器的占空比;isn為第n個開關周期系統電源側電流的采樣值;Isn為第n個開關周期的PI控制器輸出值。
基于式(17)可以實現有源濾波器的數字化控制,其基本結構如圖2所示,在一個開關周期內控制器首先采樣系統電流is和直流側電容電壓Vdc,經AD轉換器轉化為數字量isn、Vdcn,而Vdcn與直流電壓Vref參考值經過數字PI調節器生成Isn,然后利用式(17)計算出橋臂開關的占空比dn送入PWM發生器,經驅動電路控制開關的動作。



圖3 諧波抑制仿真結果
仿真結果
圖3給出了負載為非線性負載(帶阻感負載的二極管整流橋)時,有源電力濾波器的工作情況。圖3(a)是補償前電源側電壓和電流波形,圖3(c)是此時電流的諧波分析,3、5、7、11、13、15等次諧波很大;圖3(b)是補償后電源側電壓和電流波形,圖3(d)是此時電流的諧波分析,3、5、7、11、13、15等次諧波得到明顯的抑制。負載側電流的THD為48.31%,電網側電流的THD為6.52%。圖4給出了負載為阻感負載時,有源電力濾波器的工作情況。圖4(a)是補償前電源側電壓和電流波形,圖4(b)是補償后電源側電壓和電流波形。補償前電源側系統的功率因數為0.6908,補償后的功率因數為0.9988,實現了系統無功補償和改善功率因數的目標。
圖4 無功補償仿真結果
結論
目前探索性能更好的新控制方法是有源電力濾波器研究的一個重要方向。本文提出的數字控制方法只需檢測電源側電流和變流器直流側電容電壓,據此實時計算各開關在每個開關周期內的占空比,形成開關的控制信號。該方法檢測量少、算法簡單、開關頻率恒定、易于數字化實現。仿真結果表明,應用該方法的單相電壓型有源電力濾波器能夠有效地抑制諧波和補償無功。不足之處在于PI參數的調節過于靈敏,實際應用中還有一定困難。



