中心議題:
- MOSFET的設計方法
- 頂部MOSFET損耗
- 同步整流器設計
隨著個人計算機行業向著工作電流為200A的1V核心電壓推進,為了滿足那些需求,并為該市場提供量身定制新型器件所需要的方法,半導體行業正遭受著巨大的壓力。過去,MOSFET設計工程師只要逐漸完善其性能就能滿足市場的需求并通常獲得滿意的結果。
現在,他們面臨的要求根本背離被動響應或主動前攝的設計方法,這種方法本來應該讓他們能夠提供更大的電流、更高的效率和更小的占位面積以滿足日益增長的需求,從而應對分配給DC-DC轉換器越來越小的體積資源所帶來的挑戰。為此,本文在此提出一種具有外科手術式精度的設計方法,來針對該市場的需求設計MOSFET。這種根本的變革被證明是正當的,因為市場之大,足以證明所需要的花費是正當的,并且能夠提供非常滿足市場需求的解決方案。
MOSFET設計方法
同步升壓轉換器是個人電腦行業為DC-DC轉換器所選擇的拓撲結構,并且被廣泛地用于電信其它市場。我們在本文中將僅僅考慮這種拓撲,但是同一方法也可能適用于其它的拓撲。我們將嘗試根據兩個因素推導計算最優化MOSFET裸片面積的方程。

圖1:升壓轉換器。
1. 它在電路中的作用是功率開關MOSFET或同步整流器;
2. 與這種特殊的MOSFET相關的總的損耗。
選擇總損耗作為確定因素的直接原因是業界需要更高的效率和更低的損耗。裸片面積經過最優化的MOSFET,當被用于其目標應用—即開關MOSFET或同步整流器—時,可以提供最少的損耗。顯然,這樣的方程取決于用于制造器件的特殊工藝及利用該工藝進行的特殊器件設計。
通過把器件面積與物理應用參數聯系起來,我們可以考察這些參數對器件的不同影響,并且在最佳情況下,我們能夠根據應用需求精密設計一種器件,或換言之,一種針對特殊應用的MOSFET。這種方法使功率半導體行業能夠每一次都生產滿足要求的功率器件,并消除設計過程中的推測工作,從而使開發周期更短且費用更低。
為了簡化導出的方程,我們把損耗的計算限制為兩種起支配作用的損耗源:
1. 傳導損耗;
2. 動態或開關損耗。
一直以來,人們忽略了門極到源極之間以及漏極到源極之間電容的充放電。在給定的300KHz開關頻率和12V輸入電壓的條件下,這兩種損耗源在整個器件的損耗中占很小的百分比。另一方面,通過引入這兩種損耗源,確實使利用Maple軟件的數學推導過程更為復雜,它使所導出的方程過于復雜,難以利用它來研究應用參數對器件面積的影響。
頂部MOSFET損耗
讓我們考慮開關MOSFET中的這兩種來源的損耗:第一種是傳導損耗或歐姆損耗,第二種是動態損耗。傳導損耗是簡單的I2R x 占空周期損耗,而動態損耗或開關損耗是由MOSFET打開或關閉過程中因漏極到源極之間的電壓及流過它的電流有限所致。損耗可能由下式計算:
(1)
其中:tr和tf =上升和下降時間;Vin =輸入電壓;ILoad =負載電流;Fs =開關頻率;RDS(ON) = MOSFET導通電阻;ΔPWM = 占空周期;Rpackage =封裝阻抗;
[page]
為了計算tr和tf,我們需要作出下列假設:
tr ≈ tf
對于開關,僅僅考慮門極到漏極的電荷成分Qgd,因為門極電荷Qg在開關中不發揮任何作用。

其中:Qgd = 門或漏極電荷;Kd = 常數;Id = 在門閥值上的門驅動電流;A = 裸片面積;
替換(1),我們得到:
(2)
取(2)—裸片面積A—的一階導數,我們得到:
(3)
取二階導數,我們得到:
(4)
方程(4)為正,表示為A求解(3)將產生一個函數的最小值。求解A,我們得到函數Pdissipation的最小值:
(5)
而最優化裸片面積可能由下式計算:
(6)
用Vout/Vin替換ΔPWM,而VDrive/Rg替換ID,我們得到:
(7)
因為VoutILoad = 輸出功率 = Pout
(8)
注意:Aoptimum直接正比于√Pout而反比于Vin
同步整流器
利用相同的處理,我們可以導出針對同步整流器的方程:
(9)
類似地,做優化裸片面積可由下式表示:
(10)
[page]
我們以頂部MOSFET為例,下圖2所示為在不同輸入電壓時最優化裸片面積和負載電流之間的關系。仔細地考察發現,當輸入電壓從19V變到5V時,裸片面積增加。

圖2:最優化裸片面積是頂部MOSFET在不同輸入電壓條件下負載電流的函數。
這是因為在5V電壓時占空比會增加,而我們需要較小的RDSON,因此,獲得較大的裸片面積以減小傳導損耗。因為開關電壓越小,開關損耗也成比例地越小,因此,我們我們能夠容忍存在某種程度上較大的Qgd和較大的裸片面積。
如下圖3所示,是在不同輸入電壓的情況下最優化裸片面積和開關頻率之間的關系。顯然,在動態損耗和傳導損耗之間我們需要采取不同的混合,并且在高開關頻率下動態或開關損耗其支配作用,因此,迫使把裸片面積做得非常小。

圖3:最優化裸片面積是頂部MOSFET在不同輸入電壓條件下開關頻率的函數。
這些依賴性在某種程度上不同于我們考慮同步整流器的時候,因為跨越它的電壓是單只二極管的壓降,無論是體二極管或是肖特基二極管,在此,動態損耗比頂部MOSFET要小得多。
這意味著傳導損耗在這種情況下占支配地位,在此,即使以較大的Qgd為代價,也需要較大的裸片面積和相關的小RDSON值。如圖4所示,最優化裸片面積是頂部MOSFET在不同輸入電壓條件下負載電流的函數。盡管開關損耗在整個損耗圖中發揮的作用較小,在此,仍然要以犧牲RDSON指標為代價,進一步減小裸片面積來實現更低的Qgd。

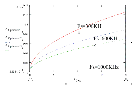
圖4:在同步整流器MOSFET不同開關頻率上的最優化裸片面積是負載電流的函數。
[page]
如圖5所示,功耗是裸片面積的函數,周圍是針對輸入電壓為5到12V的頂部MOSFET的最合適值。這清楚地表面,損耗高度依賴于裸片面積以及如果裸片面積增加或減少時這些損耗所增加或減小的劇烈程度。

圖5:功耗是頂部MOSFET裸片面積的函數。
顯然,我的觀點是:這些方程從為任務指定最優化MOSFET的任務中獲得推斷,并讓我們把工作重心放在開發滿足未來幾年需求的新的制造工藝的任務之上。
本文小結
我們在此已經介紹了專門針對給定應用而設計的MOSFET的概念。為了讓MOSFET設計工程師把精力集中在需求快速增長的個人電腦市場,有必要針對特定的器件給出范例。盡管對RDSON和Qgd兩個前沿課題有待做進一步完善,但是,仍然需要針對特定應用來設計MOSFET器件。
在MOSFET參數和應用之間的閉環鏈路要根據需要來使用。我們在上面已經示出:這樣的一個鏈路可以由損耗方程中導出,因為它們由MOSFET的參數來修正。
在頂部和同步整流器MOSFET之間,前者是對設計更為重要的器件。這是因為要對RDSON和Qgd兩者進行優化,以獲得最優化的性能;而同步整流器則居于其次。
上述方程根據一組特定的固定參數清楚地確定了最優化的裸片面積。實際上,有必要被擴展到包含一定范圍內的工作條件,如頻率、負載電流、輸入電壓和門驅動條件。幸運的是,在個人電腦市場,輸入電壓和每相的電流被保持在相當窄的范圍內。這就使開關頻率和門驅動器成為唯一的兩個真實變量。





