- 基于RD-19230的自整角機接口電路設計
- 利用電磁感應原理轉化電信號
- 設計有效的外圍接口電路
- 電路通過對稱的電阻結構
自整角機是一種感應式的微電機,它利用電磁感應原理將機械轉角或直線位移精確地轉化成電信號。它是自動控制系統中的同步元件,利用兩臺或多臺自整角機在電路上的聯系,可以使相隔一定距離、機械上互不連接的兩根或多根轉軸保持同步旋轉或產生相同的轉角變化。
自整角機按其使用要求不同,可分為控制式自整角機和力矩式自整角機,按結構形式不同可分為接觸式和無接觸式兩大類。由于自整角機良好的抗震動、沖擊和可在油污等惡劣環境下工作的特點,在現代技術領域的各部門中,它被廣泛應用于隨動系統和遠程控制等方面。現代流行的自整角機數字化技術主要有單RC相移法,雙RC相移法,實時三角函數發生器方案,利用AD和uP的解決方案,跟蹤型解決方案等。由于跟蹤型解決方案具有實時性強,抗干擾能力好的特點,現在大部分轉化方案都采用此方案。
本文基于應用者的角度介紹了自整角機的基本結構及工作原理,通過分析跟蹤型轉換RD-19230的功能特點,設計了簡單有效的外圍接口電路。
1 自整角機原理
自整角機是自動控制系統中傳遞轉角位置信息的微電機,在自整角機和伺服機構組成的隨動系統中,與發送軸或主動軸耦合的自整角機稱為發送機,與接受軸或被動軸耦合的的自整角機稱為接收機。
控制式自整角接收機輸出的是與兩軸轉角差成一定關系的電壓,該電壓控制交流伺服電動機去帶動被動軸旋轉,故能帶動較大負載。由于接收機工作在變壓器狀態,故通常稱為自整角變壓器。力矩式接收機直接輸出力矩并帶動負載,但帶載能力差,只能帶動指針、刻度盤等輕負載,常用于角度傳輸精度要求不很高的指示系統中。圖1為自整角機原理圖。

如圖1所示,自整角機主要由定子和轉子組成,定子和轉子問有很小的空氣隙,自整角機的激磁磁場,是一個磁場軸線在空間固定于激磁繞組軸線上,磁通密度分布曲線的幅值隨時間交變的脈振磁場。當轉子繞組偏離中線位置時,轉子激磁繞組所產生的脈振磁通必定和定子各相繞組相匝鏈,因而在定子各相繞組中感應出電勢。

本文就是將三路自整角機感應電動勢信號處理后,得到RD-19230轉換所需的兩路正交信號,從而轉換為精確的數字信號。
[page]
2 RD-19230接口電路設計
2.1 RD-19230功能特性
RD-19230是一種混合信號CMOS的IC,它包含了模擬輸入數字輸出部分,精確的模擬電路系統與數字邏輯結合在一起形成了一種完整的高性能跟蹤型模擬信號轉數字變換器。它提供了各種可編程的特性,如分辨率,帶寬,速度輸出換算等。其主要工作特性和參數如下:1)+5 V單電源供電:2)高達1.3角分的轉換精度;3)可編程分辨率,帶寬和跟蹤速度;4)擁有內部綜合基準源;5)可替代轉速計的速度輸出;6)并行數據輸出,輸出可編程鎖存;7)可編程LVDT模式;8)正常工作在-40~+85℃的溫度范圍。
RD-19230芯片轉化處理的信號為兩路正交的含有角度信息的模擬信號,需要±5 V電源供電,內部包含一個電荷泵來為外部提供-5 V電源,其內部通過執行以下三角恒等式,調節數字輸出角度與模擬輸入角度的差值,跟蹤模擬輸入角度直至差值為零,則此時數字輸出角度等于模擬輸入角度。
其中,θ為模擬信號輸入角度,φ為數字輸出角度。
RD-19230內部有分辨率及跟蹤速率控制位,數據鎖存控制位,帶寬調節位,速度電壓輸出調節位,工作狀態為,機內錯誤測試端等多種可編程控制位及狀態信息位,極大地方便了轉化的過程控制。由于其低成本、尺寸小、精度高和多用途的性能,被廣泛應用于電動機控制、機床控制、機器人和過程控制等,是現代高性能工業控制系統的理想產品。
2.2 接口電路設計
由于RD-19230芯片內部處理信號為兩路正交信號,通常情況下可由旋轉變壓器直接提供,其正常工作情況下對兩路輸入信號電壓要求為2Vrms±15%,而自整角機輸出信號為三線壓值不定的信號,從而設計出簡單方便的轉換電路是有必要的。
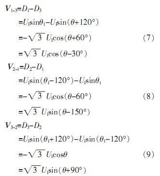
由于自整角機中定子繞組為星型連接,彼此在空間上呈120°,并且輸出三路定子繞組電壓D1、D2、D3是相對于中心點而言,無法對其單獨處理。由公式(5)可知,其任意兩線間電壓為:

由以上公式可知,線線電壓之間在空間上相差120°,相對定子繞組輸出電壓順時針旋轉了30°,電壓放大了倍。
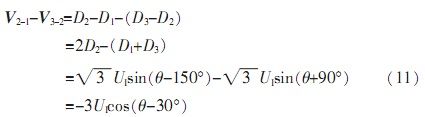
三路線線電壓在空間上的矢量圖如圖2所示。由圖2可知,三路線線電壓中任意兩路之差與第三路呈正交關系,若能提取出這樣的兩路正交信號,就能很好地解決芯片的輸入問題。對此作出如下推導:


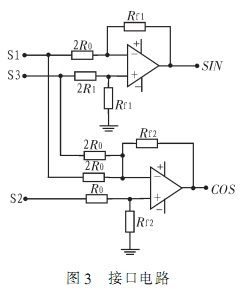
由上式可知,兩路正交信號可以通過對三路定子繞組信號進行加法和減法運算得到。從而相應的實現電路圖如圖3所示。


其中:

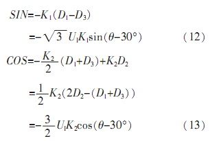
由加法和減法的運算電路可知,式中
由于RD-19230芯片信號輸入端內部存在運算放大器,從而簡化了電路,使電路應用更加方便。
3 測試結果
根據轉換要求,設置RD-19230外圍參數,測試將其內部采樣頻率設為67 kHz,選擇最大跟蹤速率,100 Hz帶寬的16位變換組件,10rps的跟蹤速率以及4 V的速度輸出電壓,具體設置參考芯片手冊。
測試信號選擇可編程旋轉變壓器/自整角機標準5300發送器發送,將勵磁信號電壓設為26Vrms,信號線線電壓為11.8Vrms,選擇自整角機檔。
根據輸入線線電壓11.8Vrms及芯片轉換電壓2Vrms,通過公式(11)、(12)配置接口電路中電阻R0、RF1、Rf2的阻值。
通過數字示波器觀察電路勵磁信號,自整角機輸出信號及接口電路變換輸出信號,結果波形如圖4~圖8所示。





根據圖中所示,在確定的角度下,自整角機三路線線信號在電壓上呈120°正弦關系,接口電路轉換輸出信號為兩路電壓正交信號,根據角度不同,兩路信號電壓峰值不同,單路最大時電壓為2Vrms。測試結果完全符合設計要求。
4 結論
由電阻網絡組成的自整角機到RD-19230轉換芯片的接口電路,結構簡單,通過與芯片內部的運算放大器結合而成,使電路的穩定性好,而通過兩路的正交信號跟蹤處理轉換成數字信號,解決了單路噪聲引起的過大誤差,提高了轉換的精度,電路通過對稱的電阻結構,能有效地將不同幅值的信號處理到芯片要求范圍。通過測試,接口電路處理方法簡單,可靠性好,精度高,抗干擾能力強,能夠完全滿足高速自整角機控制系統的要求。




