中心議題:
- 高壓變頻器功率器件的散熱設計
- 高壓變頻器功率單元的散熱冷卻設計
- 高壓變頻器整機的散熱與通風設計
1 引言
在電力、化工、煤礦、冶金等工業生產領域要求高壓變頻器有極高的可靠性。影響高壓變頻器的可靠性指標有多項,其中在設計過程中其散熱與通風是一個至關重要的環節。目前高壓變頻器有高-低-高式、元件直接串聯式、中點箝位多電平式、單元級聯式等多種方式,一般來講,上述各種方式的高壓變頻器,其效率一般可達95~97%;但由于設備功率大,一般為mw級,在正常工作時,仍要產生大量的熱量。為保證設備的正常工作,把大量的熱量散發出去,優化散熱與通風方案,進行合理的設計與計算,實現設備的高效散熱,對于提高設備的可靠性是十分必要的。
高壓變頻器在正常工作時,熱量來源主要是隔離變壓器、電抗器、功率單元、控制系統等,其中作為主電路電子開關的功率器件的散熱、功率單元的散熱設計、及功率柜的散熱與通風設計最為重要。
2 功率器件的散熱設計
通常對igbt或igct模塊來說,其pn結不得超過125℃,封裝外殼為85℃。有研究表明,元器件溫度波動超過±20℃,其失效率會增大8倍。功率器件散熱設計關乎整個設備的運行安全。
2.1 在進行功率器件散熱設計時應注意的事項
(1)選用耐熱性和熱穩定性好的元器件和材料,以提高其允許的工作溫度;
(2)減小設備(器件)內部的發熱量。為此,應多選用微功耗器件,如低耗損型igbt,并在電路設計中盡量減少發熱元器件的數量,同時要優化器件的開關頻率以減少發熱量;
(3)采用適當的散熱方式與用適當的冷卻方法,降低環境溫度,加快散熱速度。
以目前最常見的單元級聯式高壓變頻器為例,對其中一個功率單元為例進行熱設計。功率器件采用igbt,其電路如圖1所示。

圖1 功率單元電路圖
2.2 損耗功率的估算
在設備穩態運行時,功率單元內整流二極管、igbt、續流二極管總的功率損耗即為散熱器的耗散功率。因此熱設計的第一步就是對上述器件的總功耗進行估算。
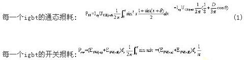
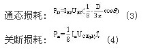
(1)igbt的功率損耗一般包括通態損耗、斷態損耗、開通損耗、關斷損耗和驅動損耗,在估算時主要考慮通態損耗、開通損耗與關斷損耗;

(2)對續流二極管來講,主要估算它的通態損耗與關斷損耗;

(3)整流二極管在低頻情況下的損耗功率
主要為通態損耗,確定其通態功耗的簡便方法是從制造廠給出的通態損耗功率與通態平均電流關系曲線直接查出。
上述功率單元總的功耗為:p=(pss+psw)×4+pd×6 (5)
[page]
2.3 穩態下的結溫計算
結溫的計算是建立在如圖2所示的簡化熱阻等效電路的基礎上的。上述功率單元的簡化熱阻等效電路如圖2所示。

圖2 igbt的熱阻等效電路圖
圖2中:rθ(j-c)是器件結到管殼基準點穩態熱阻,由制造廠家提供,一般在數據表中給出上限值或給出瞬態熱阻曲線取t→∞的穩態值;rθ(c-a)是管殼未通過散熱器直接到空氣的熱阻,通常不考慮;rθ(c-s)是管殼到散熱器的觸熱阻,通常由制造廠家在數據表中給出;rθ(c-a)是散熱器基準點到環境基準點的熱阻,其值由散熱器形式、尺寸和冷卻方式決定;ta是環境溫度。
(1)靜態熱阻
![]()
(2) 瞬態熱阻
由于電力電子器件工作在周期性的開關狀態,就需考慮其瞬態熱阻所造成的結溫波動是否超過最大結溫。瞬態熱阻反映散熱途徑中熱載體的熱阻和熱容量的綜合效果。瞬態熱阻抗可由下式求得:
![]()
通常處于周期性脈沖功耗負載下的平均和最大結溫可以參考廠家所給出的瞬態熱阻曲線來計算。如圖3示出了eupc型號為bsm400ga120dlc的igbt模塊瞬態熱阻曲線zthjc=f(t)。

圖3 igbt模塊瞬態熱阻曲線
(3) 穩態下的結溫計算
通過上述方法分析得到整個功率單元所有的功率損耗,然后按照下式計算電力電子器件的結溫或計算散熱器的熱阻。
![]()
同時在計算熱阻時,應考慮到損耗功率的波動與負載的波動;即在考慮結溫的平均值的同時,應考慮到其波動的幅度。通常情況下,需保證在給定條件下所出現的最高結溫不大于其最大定額150℃,計算穩態結溫時考慮留出5℃的裕度。
[page]
3 功率單元的散熱冷卻設計
功率單元中的元器件主要包括整流二極管、igbt(或igct)模塊、電容、快速熔斷器、母線開關器件驅動電路以及其它一些保護電路。除二極管整流模塊與igbt模塊(igct)外,其余元器件由于在功率單元中通過支架等方式安裝,在保證足夠的空間距離與必要輕微空氣的對流的條件,已滿足其散熱要求。因此功率單元的冷卻設計主要考慮二極管整流模塊與igbt模塊(igct)的散熱要求。
功率器件的耗散功率所產生的溫升需由散熱器來降低,通過散熱器增加功率器件的導熱和輻射面積、擴張熱流以及緩沖導熱過渡過程,直接傳導或借助于導熱介質將熱量傳遞到冷卻介質中,如空氣、水或水的混合液等。目前在高壓變頻器中常用到的冷卻方式為強制空氣冷卻、循環水冷卻、熱管散熱器冷卻。
3.1 強制空氣冷卻
強制空氣冷卻用的散熱器通常是一塊帶有很多葉片的良導熱體,散熱器熱阻(r(s-a))估算公式:

式(9)中:k為散熱器熱導率;d和a分別是散熱器的厚度和面積,分別以cm和cm2表示;c是一個與散熱器表面和安裝角度有關的修正因子。此式在空氣溫度不超過45℃時成立。
值得注意的是,散熱器的制造工藝會影響到其導熱系數,如鑄造鋁合金、擠壓成型或釬焊散熱器應區分考慮。同時在選配散熱器時應考慮:散熱器根部厚度應滿足熱的傳導;翼片的數目與波紋在保證最大散熱面積的前提下不至于產生太大的流體阻力;翼片的高度與厚度之間的比例要合理。如要保證散熱有較大的裕量,增大散熱器的長度是一個較好的選擇。
3.2 循環水冷卻
高壓變頻器采用循環水冷卻方式可以大大提高散熱效率,使得單位功率的體積小,可極大的減小整機的尺寸。與強制空氣冷卻相比,散熱器表面與流體的溫差比較小,一方面可以提高功率,另一方面可以降低芯片的溫度,提高其壽命。但采用循環水冷卻方式需要有水循環與處理設備,增加了設備的復雜程度。采用該方式時,應注意為防止純水會引起生銹與結凍,一般采用水與醇混合。混合比例會影響到冷卻液的熱阻,當混合比例為50%時,其熱阻一般增大50%。正常情況下應保證水的流速不小于8升/分。
在高溫濕熱的環境中,由于空氣中的相對濕度比較高,當冷卻表面的溫度低于露點時,水冷散熱器會引起凝露現象,由此可能造成器件的絕緣破壞。因此水冷式高壓變頻器對環境要求要高一些。通常水的凝固點為0℃,根據標準要求,額定溫差為5℃,因此工作溫度不應低于5℃;同時相對濕度≤90%(25℃),相對濕度變化率應≤5%/h。
3.3 熱管散熱器
熱管散熱器是采用水或其它傳熱流體為冷卻介質,密封在具有毛細結構的銅管內的沸騰散熱器。功率器件產生的熱量通過散熱器傳導給流體,流體汽化后擴散至整個銅管,以散熱片散熱冷卻成水后回流到吸熱面。熱管散熱器具有傳熱能力強、均溫能力優良、熱密度可變、無外加設備、工作可靠、結構簡單,重量輕、不用維護等優點,一般適用于大功率、分立元件的場合;在一些特殊的生產工況如粉塵比較多的地方(煤礦、焦化廠、部分化工廠)可以采用熱管散熱器,因為可以做到整個功率變換部分的密閉性。
國內的電力電子變換器行業多年前已采用熱管散熱器。如df4型電傳動內燃機車的電力整流柜改用熱管替換原有的純鋁散熱器;上海威特力焊接設備制造有限公司在400a以上的逆變焊機中每臺都用熱管散熱器為igbt和二極管散熱。但目前還未見到采用熱管散熱的高壓變頻器。考慮到上述幾種散熱方式,熱管散熱應是首選的考慮。
3.4 其它注意事項
高壓變頻器無論采用何種冷卻方式,器件在散熱器上安裝時應注意其安裝位置。器件在散熱器上的布局應注意以下幾點:
(1)散熱器的中心位置熱阻最小;
(2)在同一個散熱器上安裝多個功率器件時,在考慮各個器件發生的損耗情況的基礎上,決定安裝的位置,對產生大損耗的器件應給予最大的面積;
(3)安裝模塊的散熱器表面,應注意螺釘位置間的平面度控制在100以內,表面粗糙度控制在10以下,表面如有凹陷會直接導致接觸熱阻的增加;
(4)為使接觸熱阻變小,在散熱器與功率元件的安裝面之間應均勻涂敷散熱絕緣混合劑,并施加合適的緊固力矩,使器件外殼對散熱器的接觸熱阻不超過數據手冊要求的值。
4 整機的散熱與通風設計
高壓變頻器常風的冷卻方式主要為散熱器強制風冷、循環水冷卻和熱管冷卻等。因強制風冷方式簡單,不存在水冷時的凝露問題,以及熱管散熱器設計的復雜性,在確定合適的通風結構的情況下,一般采用此種方式。采用強制風冷方式需要在結構設計時考慮散熱風道。散熱風道的設計應在充分考慮單元散熱的要求下,應盡量優化。常見的多電平串聯方式的高壓變頻器,從結構上分為功率柜體、變壓器柜、控制柜。功率柜風道設計通常有兩種方式:串聯風道和并聯風道。
4.1 串聯風道
串聯風道是由每個功率的散熱器上下相對,形成上下對應的風道,其特點由上下多個功率單元形成串聯的通路,結構簡單,風道垂直使得風阻小;但由于空氣從下到上存在依次加熱的問題,造成上面的功率單元環境溫差小,散熱效果差。其結構如圖4所示。

圖4 功率柜風道結構圖
[page]
4.2 并聯風道
并聯風道中從每個功率單元的前面進風,對應的進風口并聯排列,在后面的風倉中匯總后由風機抽出,同時整個功率柜一般采用冗余的方法,有多個風機并聯運行,整體散熱效果好,并提高了設備的可靠性。但柜體后面要形成風倉,增大了設備的體積,同時由于各個功率單元后端到風機的距離不同,使得每個功率單元的風流量不一致,在設計時應加以考慮。
4.3 散熱風機的選擇
整個功率部分采用強制風冷的方式,需保證有足夠的具有環境溫度的空氣源源不斷地流經散熱器的表面,使散熱系統達到某種溫度值的熱平衡。在穩定的平衡狀態下,根據公式:p=h×a×△t,在已確定系統耗散功率p、散熱器有效表面積a與散熱器表面溫度與環境溫度差值△t的前提下,吸熱介質的對流換熱系數h可以求出。美國、日本規定風機噪音不得大于65db,所以他們規定的風速為2~4m/s。因此在考慮風機選擇時,應保證電力半導體器件風冷散熱器3~6m/s的風速,一般即可保證h能達到要求。
5 結束語
目前高壓變頻器多采用強制風冷方式,但由于水冷方式和熱管散熱有體積小、效率高、沒有污染等優點,應更新設計理念,大力推廣。總之,開發和選擇新型高效散熱技術對高壓變頻器進行冷卻,是提高設備可靠性和縮小設備體積的一個重要措施。





