【導讀】您是否曾詳細計算過設計中的預計組件損耗,結果卻發現與實驗室測量結果有較大出入呢?本文介紹一種簡便方法,以幫助您消除計算結果與實際測量結果之間的差異。
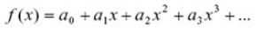
該方法基于泰勒級數展開式,其中規定(在賦予一定自由條件下)任何函數都可分解成一個多項式,如下所示:
如果意識到電源損耗與輸出電流相關(可用輸出電流替換 X),那么系數項就能很好地與不同來源的電源功率損耗聯系起來。例如,ao 代表諸如柵極驅動、偏壓電源和磁芯的固定開銷損耗以及功率晶體管 Coss 充電與放電之類的損耗。這些損耗與輸出電流無關。第二項相關聯的損耗 a1 直接與輸出電流相關,其典型表現為輸出二極管損耗和開關損耗。在輸出二極管中,大多數損耗是由于結電壓引起的,因此損耗會隨著輸出電流成比例地增加。
類似地,開關損耗可通過輸出電流關聯項與某些固定電壓的乘積近似得出。第三項很容易被識別為傳導損耗。其典型表現為 FET 電阻、磁性布線電阻和互聯電阻中的損耗。高階項可能在計算非線性損耗(如磁芯損耗)時有用。只有在考慮前三項情況下才能得出有用結果。
計算三項系數的一種方法是測量三個工作點的損耗并成矩陣求解結果。如果損耗測量結果其中一項是在無負載的工況下得到(即所有損耗均等于第一項系數 a0),那么就能簡化該解決方法。隨后問題簡化至容易求解的兩個方程式和兩個未知數。一旦計算出系數,即可構建出類似于圖 1、顯示三種損耗類型的損耗曲線。該曲線在消除測量結果和計算結果之間的偏差時大有用處,并且有助于確定能夠提高效率的潛在區域。例如,在滿負載工況下,圖 1 中的損耗主要為傳導損耗。為了提高效率,就需要降低 FET 電阻、電感電阻和互聯電阻。

圖1:功率損耗組件與二次項系數相匹配
實際損耗與三項式之間的相關性非常好。圖 2 對同步降壓穩壓器的測量數據與曲線擬合數據進行了對比。我們知道,在基于求解三個聯立方程組的曲線上將存在三個重合點。對于曲線的剩余部分,兩個曲線之間的差異小于2%。由于工作模式(如連續或非連續)不同、脈沖跳頻或變頻運行等原因,其他類型的電源可能很難以如此匹配。這種方法并非絕對可靠,但是有助于電源設計人員理解實際電路損耗情況。

圖2 前三個損耗項提供了與測量值良好的相關性






