【導讀】本文將探討了初級峰值電流和VDD電容器的設計,并將用實驗結果驗證理論分析計算,并根據等式選擇了適當的參數,最后通過實驗結果驗證了該分析。
摘要
UCC28700器件是一款初級控制反激式電源控制器,支持恒壓與恒流調整。該器件不僅可針對電壓及電流調整提供高分辨率,而且還具有極低的無負載功耗以及良好的啟動性能,非常適合低功耗適配器及輔助電源應用。與同類競爭產品相比,UCC28700器件不僅具有更好的性能,而且所需的VDD電容器容量更小。客戶可能遇到過UCC28700器件無法啟動恒流滿負載、但可啟動電阻滿負載的情況。其真正的原因是VDD電容器的值不夠,而且初級峰值電流設計得太小。本文將探討初級峰值電流和VDD電容器的設計,并將用實驗結果驗證理論分析。
1.介紹
UCC28700是一款恒壓、恒流反激式控制器,無需使用光耦合器便可實現一次側穩壓。圖1是UCC28700的應用電路。
圖1:UCC28700應用電路
在圖1中:
RSTR 是高電壓啟動電阻;
CDD 是 VDD 引腳上的蓄能電容器;
RS1 是高側反饋電阻;
RS2 是低側反饋電阻;
RCBC 是可編程線纜補償電阻;
RCS 是初級峰值電流編程電阻;
RLC 是 MOSFET 關斷延遲的補償編程電阻。
初級峰值電流是UCC28700在恒流滿負載條件下啟動的一個重要因素。接下來將我們將進行詳細分析。
2.分析
圖2是UCC28700的二次側電路,IS=IC+IL。如果在啟動開始時UCC28700器件的負載是電阻,則VO會從零上升,而且 IL 已經足夠低了,無需高Is。但如果該器件的負載是恒流,而且負載電流較大,就需要高IS來使IC保持為正,以縮短輸出電壓從0上升到VOCC所需的時間。VOCC是最低目標轉換器輸出電壓,它會讓輔助匝電壓等于 VDD引腳上的UVLO關斷電壓。

圖2:UCC28700二次側電路
對于CDD、CO和變壓器而言,可提供下列等式。等式4中提供了1mA的電流裕度。
注:NP是變壓器的一次匝數,NS是二次匝數,NA是輔助匝數。
(1)
(2)
(3)
(4)
(5)
其中:
VDD(off)是UVLO關斷電壓。
VDD(on)是UVLO開啟電壓。
Irun是UCC28700工作時VDD引腳上的電源電流。
VDD是CDD電壓。
ΔVDD是CDD上降低的電壓。
ta是輸出電壓從0上升到VOCC時所用的時間。
根據上述等式,如果IS值為低,IC就將為小,因此輸出電壓上升到VOCC所需的時間ta就會較長。但在這段時間里,VDD可能會下降至VDD(off) 以下,而且UCC28700器件可能會進入UVLO狀態,停止開關。隨后通過RSTR的電流可為CDD充電。在VDD比VDD(on)高時,該器件會重新啟動。盡管故障啟動會繼續,但UCC28700器件無法進入正常狀態。
在等式4中,如果CDD足夠大,ΔVDD對于特定ta而言將為小。因此,大容量CDD值和高初級峰值電流會讓 UCC28700順利啟動。但是,大容量CDD值意味著較高價格和較大尺寸,而且高初級峰值電流會增大功耗及變壓器尺寸。因此選擇CDD和初級峰值電流需要進行權衡。
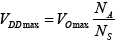
在正常工作中,VDD由輔助繞組電壓決定。如果VO達到其最大值,VDD也會達到其最大值。該關系如等式6所示。
(6)
從等式2、3和6可以看出,如果NA增大,ta就會減少,這將有利于UCC28700的啟動。因此NA也應該選擇較大值,同時還必須為VDD提供電壓裕度。
[page]
3.設計
除CDD和RCS之外,所有器件值都與UCC28700EVM-068 5-W USB適配器[1]原理圖一樣。圖3摘自UCC28700產品說明書[2]。IS可使用等式7計算,這里ηXFMR是估計的變壓器效率。
變壓器效率受鐵芯及繞組損耗、漏感比以及偏置功率與額定輸出功率之比的影響。以一個5V、1A的充電器為例,1.5%的偏置功率是良好的估算值[1]。90%的整體變壓器效率是約略估計,其中包括3.5%的漏感、5%的鐵芯損耗及繞組損耗以及1.5%的偏置功率[1]。
最大初級峰值電流IPP出現在啟動開始的時候,隨即UCC28700器件會進入恒流調節狀態,保持0.425的恒定二次二極管導通占空比。
該變壓器是EVM上的WE 750312723,NP/NS=15.33、NP/NA=3.83,飽和電流為440mA。

圖3:變壓器電流
(7)
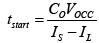
在啟動開始時,輸出電容器的平均充電電流為正值,充電電流等于(IS-IL),如等式1所示。在VO上升至VOCC之前,輔助匝電壓低于VDD,此時CDD無法通過輔助匝充電。但在此期間,CDD會被Irun和柵極驅動電流放電。如果 VDD低于VDD(off),UCC28700器件就會關斷。為確保器件順利啟動,在ta內VDD必須大于VDD(off)。在等式8和等式9中,應用了一個臨界條件。Tstart是VO從0上升至VOCC的時間。等式2是VOCC和VDD(off)的關系。在等式8 中,有1mA的估計柵極驅動電流,而且為VDD添加了1V的裕度。VCST是芯片選擇閾值電壓。在啟動開始時,UCC28700 VS引腳上的電壓為低,因此VCST保持其最大值。
(8)
(9)
(10)
如表1所示,UCC28700器件有更好的恒流(CC)調整性能,更高的最大工作頻率,其可最大限度縮小解決方案尺寸。待機功耗不足30mW,符合五星評級要求。更高的最大VDD,可縮小VDD電容器值。在表1中突出顯示的三種產品中,UCC28700器件是設計5V適配器的最佳選擇。UCC28700器件可選擇更高的NA/NS,因為根據等式2,它具有更高的最大VDD,可實現更短的tstart(見等式9)。在等式8中,tstart與CDD成正比,因此在設計中需要較小的CDD。

表 1:參數比較表
4.實驗
為驗證上述分析,我們使用了一款UCC28700EVM-068 5-W USB適配器。除了CDD和RCS外,所有器件值均保持不變,CDD=4.7μF、RCS=1.8Ω。負載為恒定電流1A。
圖4是UCC28700的啟動波形,CH1是MOSFET柵極驅動信號,CH3是輸出電壓。該器件啟動順暢,沒有過沖和聲頻噪聲。該圖顯示,UCC28700器件有非常好的啟動性能。在圖4中,tstart接近18ms,與計算結果吻合。

圖4:UCC28700啟動波形
圖5、圖6和圖7是比較性實驗。CH1是VDD電壓,CH3是輸出電壓。
在圖5中,CDD=4.7μF,RCS=2.05Ω:由于初級峰值電流不夠大,VDD下降到VDD(off)之下,因此UCC28700器件無法啟動。
在圖6中,CDD=4.7μF,RCS=1.8Ω:初級峰值電流增大,因此能觀察到良好的啟動性能。
在圖7中,CDD=4.7μF,RCS=2.05Ω:UCC28700器件無法啟動,因為CDD的容量不足以提供足夠的能量。
實驗結果說明,大初級峰值電流和大容量CDD都能讓UCC28700在恒流滿負載下成功啟動。這些結果印證了上述分析。

圖5:CDD=4.7μF,RCS=2.05Ω時的UCC28700啟動波形

圖6:CDD=4.7μF,RCS=1.8Ω時的UCC28700啟動波形

圖7:CDD=1μF,RCS=1.8Ω時的UCC28700啟動波形
5.結論
比較結果說明,UCC28700器件在CV及CC調節、解決方案尺寸、待機功耗和VDD電容器值方面具有更優異的特性。在本研究過程中,我們對初級峰值電流和VDD電容器進行了分析計算。隨后根據等式選擇了適當的參數,然后通過實驗結果驗證了該分析。




