【導讀】本文主要講述的是boost中,在連續模式下確電感PFC的基本參數,同時簡要分析并確定快速掌握在Boost電路中,電感PFC基本參數。下面本文都會一一進行贅述。
在Boost電路中,電感PFC最常見的工作狀態就是連續模式,然后通過電流跟蹤輸入電壓的控制模式進行電路功率控制。
想要進行其他參數的計算,首先我們需要確定輸出電壓的數值。通常在實際的工作運行中,輸入電網電壓一般都有一定的變化范圍,也就是Uin±Δ%,為了輸入電流很好地跟蹤輸入電壓,Boost級的輸出電壓應當高于輸入最高電壓的峰值,但因為功率耐壓由輸出電壓決定,輸出電壓一般是輸入最高峰值電壓的1.05—1.1倍。例如,輸入電壓220V,50Hz交流電,變化范圍是額定值的20%(也就是數值Δ=20),最高峰值電壓是373.35V。輸出電壓可以選擇390至410V左右的數值。
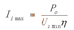
在確定了輸入電壓的參數后,接下來我們需要通過計算來決定最大輸入電流的具體數值。在Boost功率電路中,電感PFC應當在最大電流時避免飽和。最大交流輸入電流發生在輸入電壓最低、同時輸出功率最大時,此時可通過該公式進行計算,即:

在得出輸入電流和輸出電壓值之后,工程師就可以比較輕松的確定Boost電感的工作頻率了。PFC電感的工作頻率在工作中是由功率器件,效率和功率等級等因素決定,例如輸出功率1.5kW,功率管為MOSFET,開關頻率70—100kHz。
結語
在Boost電路的連續模式下,電感PFC的基本參數需要嚴格的依據公式進行推導。在確定了輸出電壓和輸入電流數值后,才可以進一步的展開其他參數的計算。以上就是本文對電感數值計算的簡要介紹,希望能夠幫助工程師們更好的開展設計工作。
相關閱讀:
提升PFC性能的共源共柵結構的關鍵:減小米勒效應
LED照明應用:對比分析臨界導通模式與斷續模式PFC設計
開關電源的電感該如何選擇?






