【導讀】機器人在不同的市場有不同的應用,并以多種形式出現,包括服務機器人、協作機器人(cobots)、工業機器人、自主式無人機和自動導引車。機器人應用成功的關鍵因素之一是確保最佳的電機驅動器設計。硅基電機驅動器需要在效率和尺寸之間做出妥協。例如,較高的開關頻率可實現較小的無源元件,但會因相當大的開關損耗而導致散熱量增加。
機器人在不同的市場有不同的應用,并以多種形式出現,包括服務機器人、協作機器人(cobots)、工業機器人、自主式無人機和自動導引車。機器人應用成功的關鍵因素之一是確保最佳的電機驅動器設計。硅基電機驅動器需要在效率和尺寸之間做出妥協。例如,較高的開關頻率可實現較小的無源元件,但會因相當大的開關損耗而導致散熱量增加。有人建議,可以通過用氮化鎵(GaN)高電子遷移率晶體管(HEMT)代替硅開關來克服這種折中方案。本文研究這是否真的適用于GaN基的電機驅動器。
GaN基電機驅動器的結構和設計
圖1展示了100V GaN基的電機驅動器的頂層框圖。該設計以兩個100V、3mΩ CoolGaN肖特基柵極HEMT的半橋電路為中心,每個HEMT都有一個外露的裸片在封裝的頂部,以實現雙面冷卻。半橋電路具有最小的環路電感(400pH),可在不超過峰值漏極電壓額定值的情況下,實現1ns范圍內的非常快速的電壓轉換。
圖1:100V GaN基 CoolGaN肖特基柵極HEMT的電機驅動器
為該設計選擇的柵極驅動器是1EDN7126G,它是1EDN71x6G EiceDRIVER柵極驅動器系列的成員,專為與GaN開關和邏輯電平MOSFET一起使用而設計。可為范圍從0.5A(1EDN7146G)到2A(1EDN7116G)的不同拉/灌電流強度提供靈活的開關速度。同時,與具有隔離式柵極電阻器的設計相比,布局復雜性和環路電感有所降低。
真差分輸入(TDI)是該系列的一個特點,即使在快速開關瞬態期間也能保證穩定運行。它為高壓側開關提供共模電壓抑制,為低壓側提供接地反彈抗擾度。此外,1EDN71x6G系列在輸出級還具有一個“有源Miller鉗位”(AMC:Active Miller clamp),在柵極電壓降至0.4V以下后不到3ns,就可將其下拉強度提高到5A,。這使得GaN HEMT的關斷速度,可以在不增加其對感應導通敏感性抗擾度的情況下進行改變。0.3Ω的低下拉電阻意味著一旦驅動器鎖存,即使在高速開關的時候,柵極電壓也會安全地保持在0V。
三個半橋中包括單獨的溫度和同相電流檢測。電路板的兩側使用薄型100V陶瓷,從而確保了總直流鏈路電容超過80μF。高開關頻率降低了這些電容器上的紋波電流,進而消除了使用大型電解電容器的需求。
該設計使用48V至5V降壓DC/DC轉換器為低側柵極驅動器提供穩定的電源電壓。1EDN71x6G EiceDRIVER的有源自舉鉗位功能用于為高側柵極驅動器供電。
同相電流檢測優于傳統的低側電流測量,能優化高頻電源環路電感并充分利用CoolGaN HEMT提供的快速開關速度。隔離式同相電流傳感器比差分電流放大器具有更好的電壓瞬變抗擾度。XENSIV TLI4971通過基于單片霍爾技術的無芯設計滿足這些要求,提供非常線性的輸出,以及從±25到±120A的可配置傳感范圍。240kHz的帶寬甚至可以滿足要求苛刻的磁場定向控制(FOC)應用。
XMC4400驅動卡可提供無傳感器FOC,最大開關頻率為100kHz,控制回路更新為20kHz。將控制頻率提高到與開關頻率相同,可以在需要快速動態控制響應的應用中實現更高的控制帶寬。
電機驅動器設計的俯視圖、側視圖和仰視圖如圖2所示。整個電機驅動器的所有組件,包括直流鏈路電容、電流傳感器、輔助電源和方便的測試點,都位于一個只有56mm×40mm的矩形區域。電路板的厚度僅為3.7mm。因此,該解決方案的總體積為8.3cm3,這意味著在需要1kW功率處理能力的應用中,該電機驅動器的功率密度為120W/cm3,或2kW/in3。
圖2:CoolGaN電機驅動器的俯視圖、側視圖和仰視圖
限制電機電壓變化率的兩個因素是繞組絕緣擊穿和軸承磨損。繞組絕緣對于48V電機(通常具有更高電壓水平的絕緣額定值)來說不是一個重要問題。軸承磨損可能是某些48V電機中的一個問題,因此由于這些原因,電機驅動器的開關速度有時會受到限制。然而,將驅動器連接到電機的電纜會顯著影響電機側的有效dV/dt,如圖3所示。在本研究中,電機上的dV/dt大約比在CoolGaN電機驅動器處(4.9V/ns,對比51V/ns)看到的低一個數量級。此外,必須考慮特定應用的因素,如機械載荷、標稱轉速和溫度,來確定軸承壽命。
圖3:開關波形比較,直接在帶有緊密探測回路的開關節點處(藍色),在螺釘端子的稍微延伸的探測回路處(紅色),以及直接在使用光隔離差分探頭測量的兩相之間的電機端子處(綠色和橙色)
更高的開關頻率提高了系統效率
CoolGaN器件的高速開關為設計人員在選擇開關頻率時提供了更大的選擇余地。它使他們能夠綜合考慮端到端效率和整體解決方案尺寸,而不僅僅是關注逆變器效率。
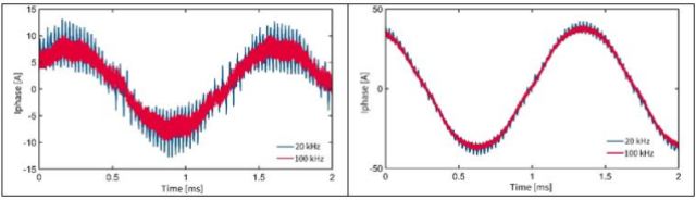
這種基于CoolGaN的電機驅動器的系統效率,是結合商用低電感(20μH相間)高極數(14P)無人機電機,在20、60和100kHz開關頻率下測量的。使用萬用表測量逆變器的直流電輸入功率,使用測功機測量電機的機械輸出功率。為了進行比較,圖4顯示了在20kHz和100kHz下以100W和500W運行的相電流波形。更高的開關頻率會使電流紋波、RMS電流和發熱顯著降低。在100W時,RMS電流從5.6A降低到4.5A(降低20%);在500W時,它從26.2A減少到23.1A(減少12%)。
圖4:100W(左)和500W(右)運行的相電流波形
雖然在輕負載時,RMS相電流在較高開關頻率下的相對降低更為明顯,但在整個負載范圍內都可以看到繞組溫度方面的優勢。在500W機械輸出功率下,繞組溫度從20kHz時的110?C下降到100kHz時的大約80?C(圖5)。這對于像協作機器人這樣的需考慮散熱的應用來說很重要。
圖5:20、60和100kHz運行時的電機繞組溫度
電機中較低的電流紋波可減少繞組和磁芯損耗,從而降低電機溫度。然而,開關損耗與開關頻率成正比,因而會增加逆變器的功率損耗和溫度。對于傳統的MOSFET或基于IGBT的設計,由于高開關損耗,這將是一個不利的折中。然而,由于CoolGaN HEMT的開關損耗極低,端到端效率隨著開關頻率的提高而提高,如圖6所示。
圖6:20和60kHz的端到端效率
總結
本文介紹了使用無傳感器FOC方案用于48V應用的GaN基電機驅動器設計。
設計評估表明,GaN器件能夠在不降低系統效率或溫度限制的情況下,使用更高的開關頻率。這些更高的頻率帶來更低的電機溫度、更高的端到端系統效率和更高的功率密度。其更小的外形尺寸,意味著該電機驅動器可以嵌入電機底盤附近(例如,機器人手臂內部),從而減輕長連接器電纜引起的EMI。
免責聲明:本文為轉載文章,轉載此文目的在于傳遞更多信息,版權歸原作者所有。本文所用視頻、圖片、文字如涉及作品版權問題,請聯系小編進行處理。
推薦閱讀:
擴大40年期電源電壓范圍,從<300uA到3A無電阻電流檢測解決方案





