中心議題:
- 設計一種慣性式測振傳感器
- 建立差動電容式加速度傳感器的數學模型,并對其作特性分析
解決方案:
- 利用慣性質量塊在外加速度作用下與被檢測電極間空隙發生改變來測定加速度
- 場效應管要求工作在線性電阻區
- 采用移用放大器,具有高共模抑制能力
引言
測量振動體相對于大地或慣性空間的運動,通常采用慣性式測振傳感器。慣性式測振傳感器種類很多,用途廣泛。加速度傳感器的類型有壓阻式、壓電式和電容式等多種,其中電容式加速度傳感器具有測量精度高,輸出穩定,溫度漂移小等優點。而電容式加速度傳感器實際上是變極距差動電容式位移傳感器配接“m-k-c”系統構成的。其測量原理是利用慣性質量塊在外加速度的作用下與被檢測電極間的空隙發生改變從而引起等效電容的變化來測定加速度的。
電容式加速度傳感器的數學模型
電容式加速度傳感器的原理結構如圖1所示,由圖可見,它實際上是變極距差動電容式位移傳感器,配接“m-k-c”系統構成的。質量塊4由兩根彈簧片3支撐于殼體2內,質量塊4的A面與上固定極板5組成的電容C1,以及質量塊4的B面與下固定極板1組成的電容C2。

圖1 電容式加速度傳感器結構示意圖

圖2 “m-k-c”系統原理圖
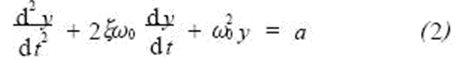
電容式加速度傳感器的等效原理圖如圖2所示。圖2中,右側標尺表示與大地保持相對靜止的運動參考點,稱為靜基準,x表示被測振動體2及傳感器底座1相對于該參考點的位移,稱為絕對位移,y 表示質量塊m 相對于傳感器底座1的位移,稱為相對位移。x和y 之間關系可用典型二階比常系數微分方程描述:

代入式(1)得:

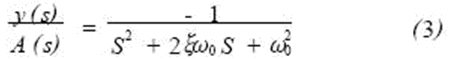
經拉氏變換得“m-k-c”系統得傳遞函數:

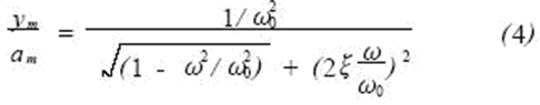
令S=jω,可求得質量塊相對運動得位移振幅ym 與被測振動體絕對運動得加速度振幅am 的關系為:

式(4)具有低通濾波特性。由此可見,當ωn《ω0時,則:
![]()
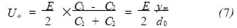
傳感器殼體2的位移y與C1,C2關系為:

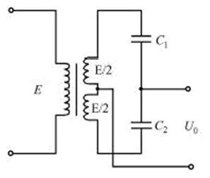
式中,d0為不振動時,電容C1和C2的初始極距。若差動電容接入圖3所示變壓器式電橋中,則電橋開路輸出電壓幅值U0為:

將式(5)代入式(7)得

可見,當ω< <ω0時,輸出電壓幅值U0與加速度幅值am 成正比,測出電壓幅值U0,即可確定加速度幅值am 。

圖3 變壓器式電橋
差動電容計算及特性分析
對于氣隙型電容傳感器,其電容值為C=εS/d ,電容式加速度傳感器的兩個電容,一個增加,一個減小。因此電容總變化量為:
g(9)
這是電容相對增量與極距相對增量之間的關系方程式。若采用線性特性方程y =x,如圖4所示,顯然其線性誤差較大。為此可采用線性特性方程y=(1+ε)x,并使其在最大量程xM 處產生的正誤差ΔyM 及其x1在處產生的負誤差Δy1在數值上相等,即:

其中,ε為某一正小數。因為原始方程與線性方程之差為:

x1點的位置可按:

設
由此可以算得:

式(12)表示在滿足Δy1=-ΔyM的條件下,ε與xM的關系。
設非線性相對誤差為γ,則

將式(12)代入上式,經整理得:

根據式(13),可按給定的非線性誤差求最大量程,也可按給定的量程求最大的非線性誤差。例如選取γ=0.01,則xM =1/5,即Δdmax=0.2d。其特性分析曲線如圖4所示。

圖4 ΔC/C0~Δd/d0特性分析曲線
電路設計
本系統電路組成框圖如圖5所示。

圖5 系統電路組成框圖
a.穩幅文氏振蕩器
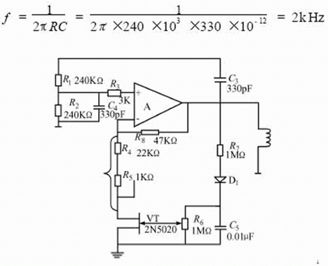
穩幅文氏振蕩器是用運算放大器做放大元件的RC串并聯選頻網絡正弦波振蕩器,電路如圖6所示。
由于放大器的輸出電阻很低,反饋信號加入運算放大的同相輸入端,所以輸入電阻很高,這樣同相放大器的增益KF=1+ R8/Rf,僅與外部電阻R8和Rf有關,而與放大器本身參數無關,因此增益的精度和穩定性都很高。在實際應用中,常選RC串-并聯電路的R1=R2=R,C1=C2=C,所以在f=1/2πRC這個頻率上, RC移相網絡相位移為零,而R8≈2Rf,滿足振蕩條件。選R=240kΩ, C=330pF,則得到振蕩頻率為:

圖6穩幅文氏振蕩器
為實現自動穩幅的目的,在運算放大器輸入端加上由R8、R4和場效應管VT組成可控負反饋電路。對場效應管要求工作在線性電阻區,只有在UDS較小時,它的RDS差不多隨柵源電壓VGS線性變化,宛如一只良好的壓控線性電阻,阻值可調范圍約為400Ω~100MΩ ,當幅值較大時, RDS應自動增大以加強負反饋,這個作用由整流二極D1,濾波電路R7、R6、C5及場效應管VT組成。當幅值較小時,C5上的電壓VC5逐漸減小,導致RDS下降,所以電路將自動在VT的其一柵源電壓下穩定下來,輸出幅值穩定的正弦波電壓。調節R6可改變輸出電壓的大小,一般將輸出電壓調節在3~5V之間。
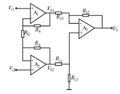
b.儀用放大器
在許多檢測技術應用場合,傳感器輸出信號往往較弱,而且其中還包括工頻、靜電和電磁耦合等共模干擾,對這種信號的放大就需要放大電路具有很高的共模抑制能力以及高增益、低噪聲和高輸入阻抗,習慣上稱為移用放大器,如圖7所示。

圖7 儀用放大器電路圖
移用放大器從電路結構可知,這是一種同相并聯差動放大器,其對稱性結構使整個放大器具有很高的共模抑制能力,特別是適用于長距離測量。其數學模型為:
令電路參數對稱R=R10=R11=R12=R13=16kΩ ,即R8=R9=40kΩ。
將式(14)和(15)帶入(16)整理得:

所以增益為:

這種電路特點是性能穩定,其漂移將大大減少,具有高輸入阻抗和高共模抑制比,對微小的差模電壓很敏感,并適用于遠距離傳輸過來的信號,因而十分適用與傳感器配合使用。顯然,為保證電路的對稱性,改變增益最合理、最簡單的方法是改變RG 的阻值。
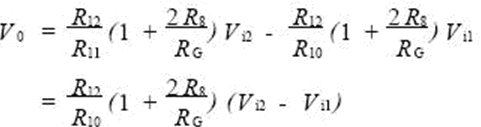
c.相敏檢波器
當被測量經過變壓器式電橋變換后,將微弱的交流信號送入儀用放大器進行放大,為了恢復原來被測量緩慢信號,采用相敏檢波器將交流的幅度變化轉換成正比于傳感器電容ΔC的直流電平。其相敏檢波電路如圖8所示。其工作過程如下:

圖8 相敏檢波電路
當輸入電壓Vi 為正半周期時,經耦合電容C6的電壓V1(即Vi =V1)輸入給A4反相,D2截至,D3導通,A4的電壓放大倍數為R16/R14=-1,即V1=-V2;調整W2,R17=R19=20kΩ ,經R17和W2送來的A5的輸入信號為V1,另一路經A5的輸入信號為V2,則輸出信號為:

當輸入電壓Vi 為負半周期時,經A4反相,D2導通,D3截至,A4輸出為零,經R17,W2送來的A5的輸入信號為V1,另一路經A5輸入信號為V1,則輸出信號V0為:

由此可見,交流放大信號Vi 經過相敏檢波后,即能反映信號電壓的幅值又能反映出信號電壓的極性。
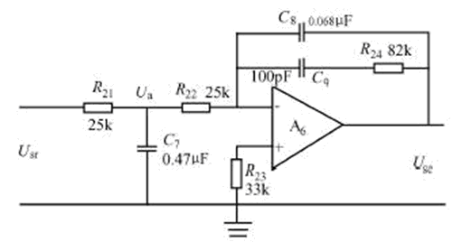
d.低通有源濾波器
低通有源濾波器如圖9所示。它是由無源RC濾波器和有源RC濾波器組成。無源RC濾波器的頻率特性為:

式中:ω1=1/R21C7或f1=1/2πR21C7
有源RC濾波器的頻率特性為:

式中:ω2=1/R24C8或f2=1/2πR24C8
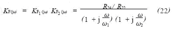
則低通有源濾波器的頻率特性為:

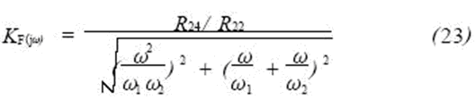
故其幅頻特性為:

一般規定增益下降到KF/2時的頻率為截止頻率,通過上式求得為f≤11.5Hz ,則帶寬為0~11.5Hz 。這樣把它檢波后的脈動直流信號中高次諧波濾掉,采用有源低通濾波器的優點是較小的電容得到良好的濾波效果。濾波器輸出后的電壓信號經過AD574模數轉換片與單片機8031連接,這樣就可以完成對被測對象的檢測和控制。

圖9 低通有源濾波電路
實驗與數據分析
實驗設備:ZD-1型振動臺一臺,其頻響10~20kHz。9102型測振傳感器一個,其性能指標:靈敏度為10pC/ms2,頻響為0.2~6000Hz ,線性度為±1%。BZ2112型振動測量儀, 其性能指標: 頻響為0.5Hz~100kHz ,量程為0.1~1000ms -2(0.01~100g)。被測試設備一臺。實驗時,振動臺工作在300Hz ,通過調節振動臺振動幅值,使振動測量儀工作量程0~100ms -2范圍,分別讀取被測設備輸出電壓數值,對它進行特性分析。測試數據如表1所示:
表1 測試設備的濾波器輸出電壓值

從測試數據求出最大誤差為0.08,測量范圍為0~10g ,所以線性度R=0.08/10=0.8% ,滿足設計要求。
結 論
本文設計的電容式加速度傳感器,具有電路結構簡單,頻率范圍寬約為0~450Hz,線性度小于1%,靈敏度高,輸出穩定,溫度漂移小,測量誤差小,穩態響應,輸出阻抗低,輸出電量與振動加速度的關系式簡單方便易于計算等優點,具有較高的實際應用價值。



