【導讀】在便攜式儀器中,只能使用電池為系統供電。通常電池電壓比較低,系統中經常需要使用小功率開關電源電路對低電壓進行電壓變換,滿足系統中不同功能模塊的需求。然而,使用開關電源必將引入紋波噪聲,如何降低該紋波噪聲成為系統設計的一個重要問題。開關電源的紋波抑制器通常使用C 型、LC型、CLC 型無源濾波器。π 型三階低通CLC 濾波器由于其結構簡單,體積小,性能高等優點得到了廣泛的應用。
根據開關電源的公式,輸出紋波和輸出電容值成反比,電感內電流波動大小和電感值成反比。理論上使用標稱值大的電容、電感可以得到較好的紋波抑制效果。實際應用中,CLC 電路中不同類型的電解電容及不同標稱值的電容、電感對電源紋波的抑制效果究竟有什么樣的影響尚無相關文章指出。因此,有必要對CLC 濾波電路進行實際測試研究。
本文采用MAX606 設計了12 V 的小功率開關電源,使用CLC 濾波器對電源輸出紋波進行抑制。通過使用不同類型電解電容及不同標稱值的電容、電感,研究了CLC 濾波器的特性,得到了降低小功率開關電源紋波的簡單方法。
1.電路設計
MAX606 是一款小型CMOS 升壓式DC/DC 轉換器,其輸入范圍3.0~5.5 V,輸出固定5 V/12 V 或可調輸出范圍Vin~12.5 V,精度為±4%。MAX606 的開關頻率高達1 MHz,在5 V輸出時可提供高達180 mA 的電流,廣泛應用于PCMCIA 卡、存儲卡、數碼相機和手持式儀器中。
設計電路如圖1 所示,測試時輸入端使用3.6 V 的鋰電池進行供電,使用π 型CLC 低通濾波電路對MAX606 輸出端進行紋波濾波。

圖1 虛線框內為CLC 濾波電路,通過更改Cin、Cout、L1 的相關參數,研究其對輸出紋波的抑制特性。
2.π 型CLC 濾波特性分析
考慮到電源輸出阻抗,將圖1 虛線框中所示CLC 電路的等效電路用圖2 表示,為了便于分析加入了負載RL,RS 為電源輸出阻抗。

圖2 中Ui 為開關電源的輸出端,Uo 為輸出到負載兩端的電壓。
2.1 CLC 濾波電路理論分析
電源信號輸入C1 兩端之后,負載RL上的直流電壓為:

式(1)表明加入電感L 將使UL 變小,影響電源的負載調整率。若要使輸出電壓穩定,應選用等效串聯電阻小的電感器件,電感器的等效串聯電阻由其繞制導線的直流電阻決定。
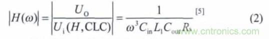
對于開關電源輸出而言,其交流信號即為電源紋波信號根據CLC 濾波電路傳遞函數:

從式(2)可以看出,隨頻率增大,紋波衰減越大;Cin、Cout 越大,紋波衰減越大,因此,π 型CLC 濾波器對電源紋波有一定的抑制作用。但是,式(2)是在L、C 均為理想情況下得出的,并未考慮實際電感電容的材料及它們的寄生參數。
2.2實際測試分析
測試數據由泰克示波器TDS2022B (200 MHz、2 GS/s)、交流數字毫伏表KH-DD 型(10 Hz~2 MHz)測量所得,負載使用ZX21 型直流多值電阻器。
2.2.1 無濾波電路時電源輸出紋波波形
圖3 所示為空載時MAX606 輸出電壓紋波波形(Uo≈12 V),即開關紋波,其頻率為1.18 kHz,波形穩定,Vpp=240 mV。圖4 所示為負載120 Ω 時輸出電壓的紋波波形,從圖4 中可以看出加入負載后電源紋波變得比較復雜,其最高Vpp達到1.2 V。為系統供電時,該紋波將會對系統造成嚴重危害,必須對此紋波進行抑制。
2.2.2 π 型CLC 濾波電路中不同類型電解電容下紋波隨負載的變化
在圖1 的CLC 濾波電路中,Cin、Cout 分別使用三種常見類型的電解電容(容值為220 μF/16 V),電感使用環形電感(電感值120 μH),依次改變負載大小,使用交流毫伏表測量其紋波電壓有效值,得到如圖5 所示的曲線圖。



從圖5 曲線可以看出,隨負載阻值逐漸增大,電源紋波有效值先急劇增大,后逐漸減小,在160 Ω 時三種類型電解電容輸出紋波均很低,滿足一般系統的電源紋波要求。從圖5 還可以看出整體水平上,普通直插式鋁電解電容紋波抑制能力最差,貼片鉭電解次之,貼片鋁電解濾波效果最佳。當負載阻值小于500 Ω 時,貼片鋁電解濾波效果最佳。當負載阻值大于500 Ω 時,鉭電解的濾波效果是最佳的。
圖6 所示為負載是300 Ω 時不同類型電解電容下所測量到的紋波波形,可以明顯看出使用貼片鋁電解紋波最小,使用普通鋁電解紋波較大且紋波具有毛刺,使用貼片鉭電解紋波有所減小且毛刺也有很大程度的改善。

圖7 所示為負載120 Ω 時不同類型電解電容下所測量得到的紋波波形。對比圖4 可以看出,經過π 型CLC 濾波后,紋波已被抑制到很小范圍。從圖7 可以看出,此時鉭電解電容的紋波抑制能力最好,紋波波形中毛刺幅度也變小。

綜上所述,考慮到實際工作時,一般電路所需電流均為數十毫安,在整體水平上推薦濾波電路使用貼片鋁電解電容。當負載很重(負載值?。r,則推薦使用鉭電解電容器。
2.2.3 不同電感值下紋波隨負載的變化
電容固定(貼片鉭電解220 μF/16 V),改變圖1 中CLC 濾波電路的電感值大小,測量不同負載時紋波的有效值,得到如圖8 所示的曲線圖,其中電感使用的是弓形電感。

從圖8 中可以看出,隨電感值增大,電源紋波減小,對于mH 級電感消除紋波效果非常明顯。采用1 mH 電感時,紋波電壓有效值僅3 mV,采用4.7 mH 時,紋波電壓有效值可降低至1.8 mV。
圖9 所示為負載為300 Ω 時不同電感值下紋波波形圖,從圖9 中可以看出,隨電感值增大,紋波被抑制程度越大,輸出紋波越小。當電感值增大到1 mH 時,紋波效果最好,且輸出基本上沒有毛刺。

2.2.4 不同電容值下負載對紋波的影響
圖10 所示為在不同電容值(貼片鉭電解)下,改變電感和負載并測量負載上的電源紋波有效值所得出的曲線圖。
從圖10 中可以看出,隨電感、負載的變化紋波抑制趨勢大體相同,可以看出電容的增大對紋波的抑制較小,且紋波有效值并不隨電容值的增大而得到抑制,電感值的增大對電源紋波的抑制起決定性的作用。但是,選擇電容值時宜選取100 μF 以上的電容,才可以得到較好的紋波抑制效果。



總結
π 型CLC 濾波電路在小功率開關電源中能夠起到較好的紋波抑制效果,通過改變電解電容的類型,調整電容值和電感值的大小,能夠顯著提高抑制紋波性能。對CLC 濾波電路進行的特性分析能夠為設計高質量小功率開關電源提供參考。



