- 電調諧LC濾波器的研究與設計
- 了解變容二極管諧振回路
- 可采用LC電調諧振濾器設計方法
- 采用Q值較高的器件調諧元件
- 設計補償低Q值的幅度均衡器
1 引 言
通信對抗系統需要在復雜的信息環境下實現對信號的處理,需要濾波器實現信號的選擇,濾波器主要應用于分離信號、抑制干擾,這是濾波器最廣泛和最基本的應用。在這種應用中,他使所需要頻率的信號順利通過,對不需要的頻率產生抑制。當前的通信系統隨著實際的需要,要求濾波器低插損、低帶內波動、高信號選擇性,同時體積盡可能小,以滿足靈敏度和動態范圍的要求。電調濾波器具有體積小、工作頻帶寬的優點,可很好地抑制二階組合信號,有著廣闊的應用前景。
本文利用微波電路CAD設計軟件,結合可靠的設計理論來進行電路設計,可以避開復雜的理論計算,極大地提高設計準確性和效率,有效縮短研制周期,降低成本。Agilent公司的ADS軟件由于其強大的功能而廣泛應用于射頻微波電路的仿真和優化設計。
2 理論分析
100~250 MHz的電調濾波器可采用LC電調諧振濾器設計方法,改變變容二極管的可調電容進行電調濾波,根據帶寬,插入損耗,幅度一致性的綜合要求對濾波器進行優化設計。
LC電調諧濾波器實際上就是同步調諧濾波器,他由若干個中心頻率調諧于W0的并聯諧振回路組成之所以用并聯形式,由于串聯時偏置回路復雜,至少需要一個電阻且電感的雜散電容不易被吸收。選擇同步調諧濾波器的一個關鍵要素在于這種濾波器能夠以簡單的電路形式實現電調諧,而其他形式的濾波器并非不能實現電調諧而是要實現電調諧的電路較復雜,且所需變容管種類多,其電特性也極不易同時滿足需要。設計LC電調諧濾波器實際相當于設計諧振放大器,只是這里變容管成為電路的核心。現對變容管諧振電路略做討論和分析。
2.1 變容二極管諧振回路
圖1和圖2給出2種基本變容二極管并聯諧振回路。




[page]
2.2 變容管諧振回路中的并聯和串聯電容
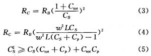
電容通常和變容二極管串聯,為了閉合交流電路,同時考慮到加直流電壓的便利,一般把變容管的一端和電路其他部分隔開,使調諧電壓能直接加在二極管上,串聯電容CS應盡量大以便有效電容變化不受影響,然而在一些情況下卻不是如此,例如在接收機的振蕩電路中,中頻和接收頻率處于同一數量級時,串聯電容的影響必需考慮。在變容管結電容Ctot串聯一個電容CS后,調諧電容值減少為:
圖1到圖2所示的并聯電容Cp總是存在的。因為電感線圈匝間電容是不可避免的,每個電感均有其自電容,把這個自電容等效為并聯的電容Cp,且認為是無耗的,則總的調諧電容值升高。如果CS足夠大,可以忽略他的影響,則得到有效調諧電容為:

2.3 變容管諧振回路的調諧范圍
考慮圖1所示變容管諧振電路,不難看出回路的頻率調諧范圍依賴于變容管的有效電容變比和電路中并、串聯電容的大小。
經過簡單的計算可得到如下調諧比表達式:

2.4 變容管諧振回路的跟蹤
一些設備要求在調諧時,2個或多個同時調諧的電路之間的頻率關系保持恒定,即稱之為跟蹤(Tracking)。這要求各變容管在任意調諧電壓時的偏差均很小。在要求覆蓋相同的頻率寬度,但各自的起止頻率不同時。(比如超外差式接收機中本振和射頻電路就是這樣),就需要特別留意減小跟蹤誤差。根據前述對不同的變容管,可以通過串聯或并聯不同的電容來減小跟蹤誤差,其所必須預先考慮的頻偏可描述為:

[page]
通常,電調諧濾波采用雙極點調諧濾波,諧振回路分為串聯諧振回路和并聯諧振回路,通過電感或電容進行耦合。此電調濾波器采用的是并聯諧振回路,用電感進行耦合。在進行仿真之前,需要建立仿真模型和設計各種參數?;谝陨夏P?,利用ADS軟件對電調濾波器進行電路設計和仿真。由于系統要求對該電調濾波器進行AGC控制,所以在仿真時加入雙柵FET。傳輸函數S21、頻率范圍設在10~350 MHz、電容在2.6~39 pF之間變化,仿真使用的放大器是NE25118。最終的ADS模型仿真結果如下面兩組曲線所示。若LC濾波器不使用放大器,仿真結果中可以看出濾波器的插損在2~3 dB左右。

4 試驗結果及討論
仿真后依照仿真的結果選擇印制板材料FR4,厚度,設計PCB微帶線寬高比,在進行結構設計及裝配時,一定要考慮結構緊湊、合理,最后用惠普公司的網絡分析儀來測試濾波器。
元件品質因素Q不夠大,會在截至范圍內使頻率響應下凹或變圓滑,有限的Q值也將引起任意阻帶的零點附近的抑制變差,使得濾波器的插入損耗增加。所以使用Q值較大的變容二極管和電感時,濾波器波形得到明顯改善,但由于實際原因,測試時用的是國產變容管ZTV9800,Q值較低,所以對波形有一定的影響。由于考慮到在系統中,對此電調濾波器將進行AGC控制,即電路自適應地調整信號通道增益的裝置能保證模擬信號不超出模擬器件的線型范圍,所以項目采用工作頻率在100~1 300 MHz的雙柵FETS888T作為放大器,由于實際采用的放大器和設計時用的放大器存在差異,放大倍數也不相同,故測試結果和仿真結果相比,得到的S21值不同,且波形也存在一定差異,這些問題有待進一步解決。圖5,圖6為在各個調諧電壓(DC)下的測試結果。
[page]

從測試中可以看出,調諧頻率100~250 MHz,隨著中心頻率的增大,相對帶寬雖略有所增大但變化不大,都是窄帶濾波器。在增益方面,放上放大器以后,100~250 MHz頻段內增益在7.5~12 dB之間,全頻段幅度一致性在4 dB以內,帶外抑制大于40 dB,并具有良好的溫度性能和較小的插入損耗(選用GaAs高Q值的變容管可得到進一步改善),符合實用要求,也和仿真結果相符合。
在理論上,濾波器的波形左右兩邊應該是大致對稱的,但在測試結果中100 MHz左右有一個很陡的衰減是因為放大器的下限工作頻率在100 MHz以上,所以100 MHz以下的信號沒有得到放大而造成的。若能采用工作頻率的起始頻率在100 MHz以下的放大器,上圖低頻段的波形將會改善很多。值得一提的是,在有源濾波器中選擇放大器時要慎重考慮放大器的直流失調和擺率限制等問題。
5 結語
電調濾波器的設計是一個需要不斷研究并且完善的領域,設計中可以看出電調濾波器調諧元件的Q值對濾波器的性能影響非常大,所以采用Q值較高的器件調諧元件或設計補償低Q值的幅度均衡器很有必要。在采用電壓調諧時,選用的隔直電容也會參加調諧,當電調濾波器指標要求較高時,也應該慎重選擇。此電調濾波器體積小,只有30 mm×30 mm×15 mm。其主要性能均達到設計要求,且調試簡單,穩定可靠,成本低廉,同時也可使小型化系列產品更加完善。


