中心議題:
- 手機無線充電的方案及硬件組成
- 手機無線充電的工作原理及其參數
解決方案:
- 車載無線充電器的感應電動勢處理
- 車載無線充電器的整流濾波設計
隨著科技的進步以及電子元件成本的降低,手機已成為我們日常生活中必備的通訊工具,與此同時,汽車也在走近我們的生活,呈現平民化的趨勢。人們在長途旅行或出差時,萬一手機電池耗盡,將對人們的正常工作生活產生很大的影響。現在部分汽車中已經出現了車載的手機充電器,但是由于不同品牌的手機充電接口有很大的區別,所以如果想在汽車上完成充電則必須攜帶與自己手機相匹配的充電器,并不是十分方便。而且由于車載電源有限,并不能實現多部手機同時充電。根據以上情況,本文提出了車載無線充電器的設想,將電磁感應技術引入手機充電領域,通過電一磁,磁一電轉換,實現了手機的無接點充電,其核心技術類似于變壓器的無芯化處理。
1 無線充電的思想
1.1 總體方案框圖
本文提出了一種車載的用于手機充電的全新方案,模塊圖及系統硬件圖分別為圖1和圖2所示。


1.2 硬件組成
汽車點煙器提供12V Dc-550 rrA電源,利用逆變器將其逆變為市電,將內置感應線圈的基座接逆變器的輸出端。因為方形螺旋線罔鄰接邊的連接部分成90。,存在電流突變。故內置感應線圈采用半徑為5∞l的圓形螺旋線圈。
手機接收端由接收器模塊和原手機充電電路構成。將接收感應線圈,整流,濾波電路通過PCB技術集成于足夠小的模塊,內置于手機電池中,接收模塊輸出為5V DC一1A。為手機電池提供電源,從而完成無線充電功能。
2 無線充電工作原理及其參數
2.1 工作原理
無線充電由于充電器和接收器問電流沒有直接的聯系,線圈電流,電壓是通過磁耦合而產生的,其實質是一對互感耦合線圈,線圈中無磁鐵物質,其等效電路圖如圖3所示:

[page]
2.2 感應電動勢
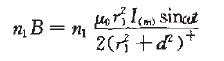
如圖4所示,線圈1和線圈2分別位于基座和手機接收模塊內,假設給線圈1(匝數為”。)通以I—I……sirl出的電流,則線罔2(匝數為堍)處的磁感應強度可以近似為:

則線圈2的磁通量為:

得出線圈2的感應電動勢為:

所以,只需調節兩線圈的匝數比便可以在無線傳輸的同時起到變壓作用,得到所需要的手機充電電壓。

2.3 整流濾波
由于接收器模塊中感應線圈感應到的是交流電,為了符合手機充電器的要求,必需還要在接收器模塊中加入整流和濾波電路。
結論
本文利用電磁感應技術進行了手機充電器的無線化研究。使得充電器可以在無電流直接聯系的情況下為電池充電。并且可以在汽車內同時為多部手機提供充電服務,既方便又經濟,如果應用于浴室等潮濕環境,其安全性能更是顯露無遺。所以,無線充電器將擁有廣泛的研究和實用價值。




